서 론
재료 및 방법
시료 채취 및 전처리
시약
산휘발성 황화물(Acid Volatile Sulfide, AVS), 총유기탄소(Total Organic Carbon, TOC) 및 총질소(Total Nitrogen, TN) 분석
미량금속 분석
미량금속 오염도 및 생태위해성 평가
결과 및 고찰
유기물 분포 특성
미량금속 분포특성
통영연안의 미량금속 오염도
통영 연안의 생태계 위해성 평가
결 론
1. 서 론
미량금속은 자연적 기원 및 인위적인 기원에 의해 발생하며 강이나 하천 혹은 대기 등 다양한 경로를 통하여 해양으로 유입된다(Khlifi and Hamza-Chaffai, 2010; Won et al., 2010; Guo et al., 2010). 해양의 수질환경 내에서 미량금속은 자유이온의 용존 상태로 미량으로 존재하며, 유기물과 흡착되어 퇴적되거나 해양생물에 섭취되는 등 여러 가지 요인에 의해 단기간에 큰변화가 나타나기 때문에 지속적인 환경 변화를 파악하기 위해서는 많은 시간과 연구들이 요구된다(Youn et al., 2004). 그에 반하여 퇴적물 내 미량금속은 산화-환원과정에 의해 수질환경으로 용출되므로 잠재적 오염을 일으킬 우려가 있을 뿐만 아니라(Singh et al., 1997), 쉽게 분해되지 않고 지속적으로 축적되기 때문에 저서생물의 서식환경에 영향을 주며, 먹이사슬을 통해 상위영양단계로 농축되어 악영향을 끼친다. 따라서 해양퇴적물 내 미량금속 함량은 저서 생태계의 건강도를 평가하는 수단으로 이용된다(Lim et al., 2013; Morillo et al., 2004; Gnandi and Tobschall, 1999).
남해연안은 대마난류수, 남해연안수와 같이 특성이 서로 다른 수괴가 합류하는 해역으로 해양생물이 서식하는 데 최적의 해양환경을 가진다(Ko et al., 2010). 남해연안의 중심에 위치한 통영연안은 많은 도서지역을 포함하고 있으며, 수심이 10 m 미만인 곳이 많고 외해로 갈수록 수심이 깊어지는 개방해역의 특성을 가지고 있다(Park et al., 2000; Jang et al., 2015). 또한 리아스식 해안으로 외해와 내만의 해수교환이 적고 하천수 유입과 높은 일사량에 의해 영양염이 풍부한 곳으로 알려져 있다. 특히, 통영해역은 국내 해상 가두리 양식장 중 가장 넓은 면적(269,353 m2)을 차지하며, 가장 많은 생산량(10,618 M/T)을 나타내고 있다(Statistics Korea, 2014). 하지만, 해수 흐름이 약한 내만의 경우 양식시설들이 밀집되어 있으며, 사료로 인해 유기물 증가 및 양식 활동에 의해 발생한 부산물로 인한 퇴적물 오염이 발생하고 있다(Yoon et al., 2010; Jung et al., 2007).
지금까지 국내 연안해역의 표층퇴적물 내 미량금속 분포 특성 및 오염도에 대해서 많은 연구가 이루어져 왔으며, 울산, 마산, 시화호 등 오염우심해역(Hwang et al., 2015a; Lim et al., 2012; Ra et al., 2013a) 및 강진만, 여자만과 같은 패류 양식해역을 중심으로한 연구가 수행되어져 왔으나(Choi et al., 2012; Choi et al., 2013), 어류 양식해역 저서환경의 유기물 및 미량금속에 대한 연구는 부족한 실정이다.
따라서 본 연구는 남해안의 대표적 어류양식지인 통영해역의 표층퇴적물 내 총질소(Total Nitrogen, TN), 총유기탄소(Total Organic Carbon, TOC)와 산휘발성 황화물(Acid Volatile Sulfide, AVS), 미량금속(Cu, Cd, Pb, Cr, Ni, Zn, Li, Mn, Hg)을 조사한 자료와 기존 문헌에서 제시 되어진 여러 방법을 활용하여 양식장의 오염도 및 생태위해성 평가를 실시하였다.
재료 및 방법
시료 채취 및 전처리
어류양식장 주변의 해저퇴적물 내 유기물 및 미량금속 분석을 위하여 2015년 4월에 47개 정점에서 채니기(van Veen grab sampler)를 이용하여 표층퇴적물(<2 cm)을 교란되지 않도록 채취하였고(Fig. 1), 분석시까지 냉동보관(-20 °C)하였다. 퇴적물시료는 60 °C에서 1일 이상 건조시킨 후 아게이트 모르타르(Agate mortar)로 분말화 하였다. 분말화된 시료는 나일론 재질의 스크린망(<63 ㎛)을 이용하여 체질 후 통과된 시료만을 사용하였다(Tam and Wong, 2000).
시약
미량금속을 분석하기 위해 산 분해용 시약으로 HNO3 (Supra-pure grade, Merck, Germany), HClO4 (Supra-pure grade, Merck, Germany) 및 HF (Supra-pure grade, Merck, Germany)을 사용하였고, 시험에 사용되는 증류수는 초순수여과장치(Direct-Q 3, Millipore, France)를 이용하여 18.2 MΩ 이상 수준으로 유지하여 사용하였다. 희석용 시약으로는 HNO3 (Ultra-pure grade, Merck, Germany)을 사용하였다. 실험에 사용되는 모든 산분해용 가압용기는 HNO3 (HNO3:H2O=1:1)에 6시간 이상 가열 후 증류수로 세척하였고, 나머지 초자기구들은 1N HNO3 용액에 24시간 이상 정치시킨 후 증류수로 세척하여 사용하였다.
산휘발성 황화물(Acid Volatile Sulfide, AVS), 총유기탄소(Total Organic Carbon, TOC) 및 총질소(Total Nitrogen, TN) 분석
AVS는 해양환경공정시험기준(MLTM, 2010)의 황검지관법을 이용하여 현장에서 측정하였고, TOC 및 TN는 건조한 퇴적물 시료 약 0.3 g을 20 mL 유리 vial에 넣고 1 N HCl 10 mL를 첨가하여 탄산염을 제거한다. 탄산염을 제거한 퇴적물을 침전시킨 후, 상등액을 버리고 증류수 10 mL를 첨가하고 퇴적물을 침전시키는 과정을 3회 반복한다. 20 mL 유리 vial을 60 °C에서 24시간 유지하여 수분과 잔류염소를 제거한 후, 105 °C에서 2시간 건조한 시료의 3-5 mg을 주석박막에 싼 후 원소분석기(Carlo Erba Elemental Analyzer 1108, CE Instruments, Wigan, UK)로 분석하였다(Choi et al., 2015a).
미량금속 분석
해저퇴적물 내 미량금속의 농도 분석은 분쇄 및 균질화된 건조시료 약 0.1 g을 산분해용 가압용기에 넣고 혼합산(HNO3:HF:HClO4=2:1:2)을 10 mL 첨가한 후 뚜껑을 닫아 밀폐한 뒤 120 °C로 8시간 이상 가열하여 완전히 분해하였다. 이후 산을 완전히 휘발시킨 뒤 2% HNO3 용액으로 희석하여 추출 및 분석하였다. 구리 (Cu), 카드뮴 (Cd), 납 (Pb), 크롬 (Cr), 니켈 (Ni), 코발트 (Co), 아연 (Zn) 리튬 (Li)의 농도는 유도결합 플라즈마 질량분석기 (Inductively Coupled Plasma Mass Spectrometer, NexION 300D, PerkinElmer Inc., USA)를 이용하여 분석하였다. 수은 (Hg)은 금아말감법 (Gold amalgam)을 이용한 수은 분석기 (Direct Mercury Analyzer-80, Milestone, Italy)를 사용하여 측정하였다.
분석된 퇴적물 미량금속 자료의 정확도를 검증하기 위하여 표준인증물질 (MESS-3)을 시료와 함께 처리하여 분석하였으며, 회수율은 시료 내 미량금속의 모든 항목에서 96.7~104%로 신뢰할만한 결과를 얻었다 (Table 1).
미량금속 오염도 및 생태위해성 평가
통영연안 표층퇴적물에서 미량금속의 개별 혹은 전체 미량금속의 오염정도를 평가하기 위해 농축계수(Enrichment Factor, EF)를 이용하였고 퇴적물 내 종합적인 미량금속의 독성영향 및 잠재적 위해성 평가를 위해 퇴적물 기준(Sediment Quality Guidelines, SQGs)을 이용한 평가와 생태학적 위험지수(Ecological Risk Index, ERI)를 이용하였다.
EF는 퇴적물 내 미량금속의 기원에 대한 정보와 함께 인위적 오염도를 평가하는 방법으로, 보존성 기준원소를 정하고 다른 원소의 상대적 농축정도를 파악하는 방법이다. 일반적으로 보존성 기준원소는 Al, Li을 사용하며, 본 연구에서는 Li을 이용하여 다음과 같이 계산하였다(Yongming et al., 2006).
(1)
여기서, (Me/Li)observed는 측정한 퇴적물의 중 Li에 대한 각 미량금속의 농도비를 의미하며, (Me/Li)background는 배경농도 중 Li에 대한 각 미량금속의 농도비를 의미한다. 본 연구에서 배경농도 중 Cu, Cd, Pb, Ni, Co, Zn, Hg은 Lim et al.(2012)이 제시한 1900년 이전의 마산만 주변 주상시료의 결과값을 이용하여 계산하였으며, Cr과 Li은 Lim et al.(2007)과 Hyun et al.(2007)이 제시한 값을 이용하였다. Enrichment factor (EF)의 경우 Zhang and Liu (2002)에 의하면 EF값이 1.5 이하일 경우 오염이 되지 않은 자연적인 농도임을 의미하지만 1.5보다 클 경우에는 인위적인 오염이 존재함을 의미하는 것으로 나타내었으며, 또한 Chen et al.(2007)에 의하면 EF<1은 오염되지 않은 상태(no enrichment), EF=1~3은 약간 오염상태(minor enrichment), EF=3~5은 중간 오염상태(moderate enrichment), EF=5~10은 심한 오염상태(moderately severe enrichment), EF=10~25은 심한 오염상태(severe enrichment), EF=25~50은 매우 심한 오염상태(very severe enrichment), EF>50은 최악의 오염상태(extremely severe enrichment)로 EF값을 세분화하여 오염도를 평가하였다. 본 연구에서는 위의 두 기준을 이용하여 오염도 평가를 실시하였다.
퇴적물 기준(SQGs)을 이용한 평가는 해양환경기준(해양수산부 고시 제 2013-186호)의 As를 제외한 나머지 항목(Cu, Cd, Pb, Cr, Ni, Zn, Hg)에 대해서 주의기준(Threshold Effects Level, TEL)과 관리기준(Probable Effects Level, PEL)으로 나타내었다. 본 연구에서는 Cu와 Zn은 Li을 이용하여 입도를 보정한 값을 이용하였고, 그 외 미량금속은 실측된 농도를 해저퇴적물 해양환경기준과 직접 비교하였다.
ERI는 Hakanson(1980)이 제안한 방법으로 퇴적물에서 각 금속에 대한 생태독성계수를 이용하여 저서생태계에 미치는 영향에 대한 위해성을 평가하는 방정식으로 아래와 같다.
(2)
여기서, n은 분석에 사용된 미량금속의 총 개수, Tmetal는 독성계수(Cu=5, Cd=30, Pb=5, Cr=2, Ni=2, Zn=1, Hg=40), Cmetal는 측정된 미량금속 농도,Bmetal는 각 원소의 배경농도를 나타낸다(Hakanson, 1980). ERI (Ei)값이 100 (30)보다 낮을 경우 낮은 위해성 (low risk), 100 (30)-150 (50)이면 보통 위해성(moderate risk), 150 (50)-200 (100)이면 높은 위해성(considerable risk), 200 (100)-300 (150)이면 매우 높은 위해성(very high risk), 300 (150) 이상은 최악의 위해성(disastrous risk)의 저서생물에게 나타낸다(Zhang et al., 2012).
결과 및 고찰
유기물 분포 특성
연구해역은 수산자원이 8년만에 118톤(1998년)에서 약 750톤(2006년)으로 약 7배 증가하여 수산가공공장 및 외부낚시객의 유입이 크게 증가하였다(MAFRA, 2008). 또한 해상가두리 양식어장이 밀집되어 어장으로부터의 유기물에 의한 오염이 우려된다. 따라서 본 연구에서는 통영연안의 오염정도를 알아보기 위해 퇴적물 내 유기물 축적을 나타내는 지표인 AVS, TOC, TN를 측정하여, 그 결과를 Fig. 2에 나타내었다.
일반적으로 어장지역에서는 퇴적물 속 황화수소 함량이 해양생물과 어장환경에 큰 영향을 미치기 때문에 퇴적물에서의 AVS 농도가 퇴적물 환경 악화 지표 항목으로 이용되고 있다(Lee, 2011). 표층퇴적물 내 AVS 농도는 ND~0.514 mg S/g dry wt(평균 0.11 ± 0.12 mg S/g dry wt) 범위로 전반적으로 오비도와 미륵도 사이의 좁은 수로에 위치한 정점들(St.35-38)의 평균값이 전체 정점의 평균값에 비해 약 3.4배 높은 농도를 나타내었다(Fig. 2). 이는 유기물 유입이 많고, 좁은 수로에 의해 해수의 순환이 적어 저산소 조건이 조성되어 황화가스 발생량이 높아 상대적으로 높은 AVS 농도를 나타낸 것으로 판단되어진다. 한편 현재 우리나라의 해양환경기준에는 AVS의 기준값이 마련되어 있지 않으므로 우리나라와 수산양식 환경이 비슷한 일본의 해저퇴적물 기준(AVS 0.2 mg S/g dry wt, Yokoyama, 2000)을 적용하여 오염현황을 평가하였다. 그 결과, 8개의 정점(8, 24, 32, 35, 36, 37, 38, 47)에서 일본의 AVS 기준을 초과하는 것으로 나타났다(Fig. 2).
표층퇴적물 내 TOC 농도와 TN 농도는 각각 8.6~15.6 mg C/g dry wt(평균 11.0 ± 1.4 mg C/g dry wt), 1.1~2.1 mg N/g dry wt(평균 1.4 ± 0.2 mg N/g dry wt) 범위를 나타내었다(Fig. 2). AVS와 유사하게 오비도와 미륵도 사이의 협수로에 위치한 정점들(St.35-38)이 타 정점에 비해 상대적으로 높았으며, 47번 정점에서 15.6 mg C/g dry wt, 2.1 mg N/g dry wt으로 가장 높은 농도를 나타내었다. 47번 정점은 주변에 하수처리장이 위치해 있어 하수처리장으로부터 유기물 유입에 의해 상대적으로 높은 값을 나타낸 것으로 판단되어진다(Fig. 2). 또한 국내 어장관리법(해양수산부령 제90호)의 어장 등급을 결정하는 어장환경평가 기준을 적용하여 오염현황을 평가해보면, 47개 정점 중 30개의 정점이 평가기준(1점: 10.00 mg C/g dry wt 이하; 2점: 10.01~17.00 mg C/g dry wt; 3점: 17.01~25.00 mg C/g dry wt; 4점: 25.01 mg C/g dry wt 이상) 중 2점으로서 전체적으로 일정량의 유기물의 유입이 있는 것으로 판단되며, 특히 해상가두리 양식장의 바로 아래지점의 경우 TOC 농도가 더 높을 것으로 예상되어진다(Fig. 2).
본 연구에서 검출되어진 AVS, TOC, TN 평균값을 기존문헌의 다른 연구지역과 비교한 결과, AVS는 강진만, 여자만과 시화호 유역보다 각각 2.3, 1.2, 4.1배 낮은 함량을 나타내었고, TOC와 TN 평균농도는 패류양식장인 강진만(12.6 mg C/g dry wt, 1.72 mg N/g dry wt)을 제외하고 다른 지역에 비해 상대적으로 높게 나타났다(Fig. 3).
|
Fig. 3. Comparison of concentrations of AVS, TOC and TN in sediments from Korean coast(1MFAFF, 2011; 2Kim and Jang, 2014; 3Choi et al., 2013; 4Jung et al., 2012). |
C/N 비는 주변해역 내 유기물의 기원을 밝히는 데 이용되고 있다. C/N 비가 5 이상 10 이하면 해양생물의 기초생산에 의해 형성된 유기물, C/N 비가 10 이상이면 육상에서 공급된 유기물로 판단한다. 10 이상의 값을 나타낸 17, 35번 정점은 유기물이 육상에서 공급되어진 것으로 보이나, 이는 기준치 근사값(각각 10.25, 10.11)을 나타내었다. 이를 고려하였을 때, 본 연구지역은 두개의 정점을 제외한 나머지 정점은 10 이하의 값으로, 해양생물의 기초생산에 의한 유기물 공급이 주로 이루어지는 것으로 판단되며, 따라서 조사 해역은 육상에서 공급되는 유기물은 적으나 협수로에 의해 해수유동이 적은 해역은 TOC와 TN과 AVS의 농도가 높게 나타났다.
미량금속 분포특성
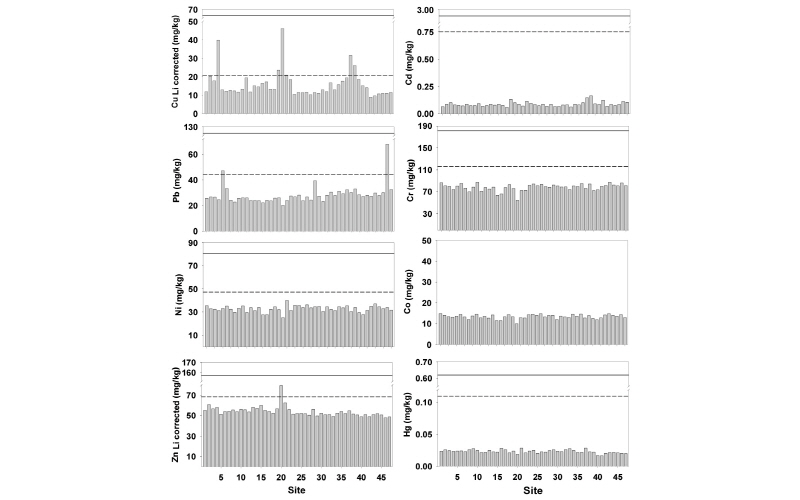
통영해역의 47개 표층퇴적물 내 미량금속 농도를 Table 2와 Fig. 4에 나타내었다. 미량금속의 농도는 Cu 24.7~121.1 mg/kg (평균 43 mg/kg), Cd 0.06~0.16 mg/kg(평균 0.09 mg/kg), Pb 20.1~68 mg/kg(평균 28.4 mg/kg), Cr 54.4~87.5 mg/kg(평균 78.2 mg/kg) Ni 25~39.9 mg/kg(평균 32.9 mg/kg), Co 9.9~15 mg/kg(평균 13.5 mg/kg), Zn 89.3~127.2 mg/kg(평균 109.8 mg/kg), Li 47.3~95.2 mg/kg(평균 74.5 mg/kg), Hg 0.016~0.028 mg/kg(평균 0.022 mg/kg) 범위를 나타내었으며, Zn>Cr>Li>Cu>Ni>Pb>Co>Cd>Hg 순으로 높은 농도를 나타내었다. 이러한 분포는 남해안의 진해만(Cho and Lee, 2012), 한산거제만(Hwang et al., 2015b)과 유사하게 나타났다.
Cd, Cr, Ni, Co, Hg, Zn의 공간적 분포양상은 전반적으로 유사하였으나, Pb의 경우 특히 정점 46에서 68 mg/kg로 가장 높은 농도 값을 나타내었다. 또한 Cu의 경우 학림도 주변 해역(정점 2~4), 곤리도와 미륵도 사이의 수로(정점 19~22)와 오비도와 미륵도 사이의 수로(정점 35~39)에서 Cu 평균 농도에 비해 1.1~2.9 배 높은 농도를 나타내었다. Cu는 경우 혐기성 환경에서 유기물 분해로 인해 수중으로 공급되어 황과 결합하여 CuS를 형성하여 퇴적물 내에서 높은 농도를 나타낸다. 또한 산화조건에서 유기물과 높은 친화력을 가진다(Sun et al., 2014; Morillo et al., 2004). 따라서 Cu의 농도가 높게 나타난 해역의 저서환경은 혐기성 환경일 것으로 판단되며, 이에 대한 추가 연구가 필요하다.
해상 가두리 어류 양식장이 주로 분포한 통영 연안 표층 퇴적물에서 검출된 미량금속의 농도를 다른 해역에서 조사된 미량 금속 평균 농도와 비교하여 Table 2에 나타냈다. Cu의 경우 조하대 패류 양식어장이 위치한 곰소만(Choi et al., 2015a), 여자만(Choi et al., 2015b)보다 높은 농도를 나타내었으나, 그 외 금속은 농도가 유사한 경향을 나타냈고, 산업발달로 인해 오염된 울산 온산연안(Sun et al., 2015), 인천연안과 시화호(Ra et al., 2013b)보다 전반적으로 낮은 농도를 나타내었다. 특히 상대적으로 높은 농도를 나타낸 Cu의 경우 지화화적 특성도 무시할 수 없지만 양식사료와 같은 유기물의 지속적 유입과 섬이 많은 지리적 특성에 의해 해수의 유동이 적어 혐기성 퇴적환경을 조성했기 때문으로 판단되어진다(Table 2). 본 연구의 경우 표층퇴적물의 총 미량금속 농도를 조사하였지만, 양식장 환경에서 중금속 영향을 보다 정확히 파악하기 위해서는 AVS-SEM (acid volatile sulfide and simultaneously extractable metals) 농도 조사가 보다 큰 의미가 있으므로 이에 대한 추가 연구가 필요할 것으로 판단된다.
통영연안의 미량금속 오염도
통영연안 표층퇴적물에서 미량금속의 개별 혹은 전체 중금속의 오염정도를 평가하기 위해 본 연구에서 검출되어진 값을 이용하여 농축계수(Enrichment Factor, EF)를 구하였다. 보존성 원소인 Li을 제외한 나머지금속들의 EF를 계산하여, Zhang and Liu(2002)가 제시한 기준으로 오염도를 평가한 결과, 연구지역 내 Cd, Pb, Ni, Co, Zn은 1.5 미만으로 인위적 영향을 받지 않는 자연적인 배경농도수준으로 판단할 수 있었으나, Cu, Cr, Hg의 경우 대부분의 정점이 1.5를 초과하는 것으로 나타나 인위적 공급이 있는 것으로 나타났다. 또한 EF 값을 세분화한 Chen et al.(2007)이 제시한 기준을 이용하여 오염도를 평가한 결과, Cd은 전 정점에서 1 미만으로 오염되지 않은 상태(no enrichment), Pb, Cr, Ni, Co, Zn, Hg은 1~3 사이의 값들로 약간 오염상태(minor enrichment), Cu는 1~6.2 사이의 값으로 약간~중간 오염상태(minor-moderately enrichment)로 나타나, 본 연구해역에서는 Cu가 인위적 농축이 가장 높은 것으로 나타났다(Fig. 5).
통영 연안의 생태계 위해성 평가
본 연구지역의 미량금속에 의한 독성영향 및 위해성 평가는 국내 해저퇴적물 해양환경기준(SQGs) 및 생태학적 위험지수(ERI)를 이용하였다. 국내 해저퇴적물 해양환경기준(SQGs)은 주의기준(Threshold Effects Level, TEL)과 관리기준(Probable Effects Level, PEL)으로 구분되며, 부정적인 생태영향이 거의 없을 것으로 예측되는 농도를 주의기준이라 하고, 부정적인 생태 영향이 발현될 개연성이 매우 높은 농도를 관리기준이라 한다. 본 연구에서 검출된 미량금속 농도를 국내 해저퇴적물 해양환경기준과 비교하기 위해 해양환경기준에 존재하는 총 7가지 미량금속(Cu, Cd, Pb, Cr, Ni, Zn, Hg)을 이용하였고, Cu와 Zn 농도는 Li으로 입도보정한 값을 이용하였다. 그 결과, 관리 기준을 초과하는 정점은 없었으며, 총 47개 표층퇴적물 시료 중 Cd, Cr, Ni, Hg은 전체 정점이 주의기준 이하였지만, Cu, Pb 그리고 Zn의 경우 전체 정점의 13%(n=6), 4%(n=2), 2%(n=1)가 주의기준을 초과하는 것으로 나타났다(Table 3).
Table 3. Percentage of sediment samples from Tongyeong coast with higher value than each guideline level |
|
미량금속에 의한 저서생물의 영향을 알아보기 위해 각 금속의 독성계수(Cu=5, Cd=30, Pb=5, Cr=2, Ni=2, Zn=1, Hg=40)를 이용하여 Ei를 구하고, 이를 이용하여 ERI(Ecological risk index) 값을 계산하여 Fig. 6에 나타내었다. 각 미량금속에서 계산되어진 Ei 값은 Cu 5~24.4, Cd 6.7±18.3, Pb 3.3~11.2, Cr 2~3.3, Ni 1.4~2.3, Zn 0.7~1.1, Hg 33.9~60의 범위를 나타내었다. 모든 정점에서 Hg을 제외한 나머지 미량금속들은 낮은 위해성을 나타내었고 Hg은 보통~높은 위해성을 나타냈다. 이는 Hg의 독성계수(Hg=40)가 다른 항목에 비해 상대적으로 높았기 때문으로 판단되어진다. ERI는 62.4~108(77.5±8.4) 범위였으며, 오비도와 미륵도 사이 협수로의 정점에서 국지적으로 생태계에 잠재적 위해성이 있는 것으로 나타났다.
결 론
통영연안 표층퇴적물 내 산휘발성 황화물(AVS), 총유기탄소(TOC), 총질소(TN)의 분포와 완전산분해법을 이용하여 미량금속의 농도 분포특성 및 생태위해성 평가를 실시하였다. 통영연안 표층퇴적물 내 유기물(AVS, TOC, TN)은 해수의 유동이 적거나 협수로에 위치한 정점에서 높은 농도를 나타내었으며, 미량금속의 농도는 Zn>Cr>Li>Cu>Ni>Pb>Co>Cd>Hg 순으로 높은 농도를 나타내었다. Cd, Cr, Ni, Co, Hg, Zn의 공간적 분포양상은 유사하였으며 이와 달리 Cu는 학림도 주변 해역(정점 2~4), 곤리도와 미륵도 사이의 수로(정점 19~22)와 오비도와 미륵도 사이의 수로(정점 35~39)에서 그 외 정점들에 비해 상대적으로 높았다. 산화조건에서 유기물과 높은 친화력이 가지는 Cu의 특성을 고려하였을 때, Cu의 농도가 높게 나타난 해역의 저서환경은 혐기성 환경일 것으로 판단된다. EF를 이용하여 표층퇴적물 내 미량금속의 오염도를 평가한 결과, Cu, Cr, Hg의 경우 대부분의 정점이 1.5를 초과하는 것으로 나타나 인위적 공급이 있는 것으로 나타났다. 본 연구에서 검출되어진 미량금속의 농도를 퇴적물 관리기준(SQGs)과 비교한 결과, PEL을 초과하는 곳은 없으며, TEL을 초과하는 곳이 Cu와 Pb, Zn이 전체 정점의 13%(n=6), 4%(n=2), 2%(n=1)가 초과하였다. 생태위해성 수준은 오비도와 미륵도 사이 협수로의 정점에서 국지적인 오염을 나타내어 국지적으로 생태계에 잠재적 위해성이 있는 것으로 나타났다.











