1. 서 론
2. 연구지역
3. 재료 및 방법
3.1 퇴적물 시료 채취
3.2 퇴적물 물성 및 중금속 분석
3.3 퇴적물 침식률 실험
4. 결과 및 토의
4.1 퇴적물 입도 및 유기물 함량
4.2 퇴적물 침식매개변수
4.3 퇴적물 중금속 농도 및 오염 특성
5. 결 론
1. 서 론
최근 산업화와 무분별한 도시개발로 인해 하수 유출량이 증가하면서, 효과적인 배수 체계 확보를 위한 하천 정비 및 인프라 개발이 활발히 진행되고 있다. 또한, 지구온난화로 인한 기후변화의 영향으로 전세계적으로 집중호우, 홍수 등과 같은 이상기후의 발생 빈도가 증가하고 있는 추세이다. 이러한 문제를 해결하기 위한 주요 대응 방안 중 하나로 도심 유수지가 조절시설로서 도입되고 있다(Ryu et al., 2011; Koh and Lee, 2012; Shin et al., 2016). 특히, 인천광역시는 국내에서 가장 넓은 유수지 면적(3.84 km2)을 보유하고 있으며, 이는 국내 유수지 총면적(14.59 km2)의 약 26%에 해당하는 것으로 보고되어 있다(KOSIS, 2023).
그러나 유수지는 현재 도시에서 유입된 생활하수에 의해 수질 오염과 악취 문제가 점차 심화되고 있다. 인천광역시는 공업도시로 발전함에 따라 폐수처리시설, 쓰레기 매립시설 등이 밀집되어 있으며, 잉여 오염물질의 축적이 더욱 가중되고 있다. 이에 따라 인천광역시에 위치한 유수지들은 환경오염에 대한 취약성이 높아, 환경 문제가 보다 심각하게 나타날 것으로 예상된다(Shin et al., 2016). 실제로 유수지는 공장, 세차장, 도로, 폐기물처리시설 등 다양한 비점오염원으로부터 유입되는 중금속과 농약에 의해 심각하게 오염되어, 강한 독성을 나타낸다는 사실이 여러 선행 연구에서 보고되었다(예, Yousef and Yu, 1992; Shin, 2009; Sebastian et al., 2013; Shin et al., 2016; Becouze-Lareure et al., 2018).
유수지와 같은 정체 수역은 배수문 등에서 방류가 발생하지 않을 경우, 유속 변화가 크게 없어 점착성 퇴적물이 유입된 오염물질과 쉽게 흡착하여 침전되기 쉽다. 이러한 지속적인 침전물의 축적은 재부유 시 오염물질의 수중 재방출로 이어져 2차 오염을 야기시킬 수 있다(Haag et al., 2001; Wiest et al., 2018). Haag et al.(2001)과 Hwang et al.(2008)은 퇴적물 오염 문제를 해결하기 위해서는 점착성 퇴적물 안정도에 대한 해석 및 예측이 필수적이라고 주장하였다. 퇴적물 안정도는 외부로부터 가해지는 힘(파랑, 조류, 바람, 강수)에 대한 침식 저항 정도를 나타내는 지표이며, 퇴적물 자체의 물성(입도, 유기물 함량)에 따라 달라진다(Seo et al., 2020; Ha and Ha, 2021). 퇴적물 안정도는 침식률 실험을 통해 제거된 퇴적물의 양을 정량적으로 산정함으로써 평가할 수 있으며, 침식률, 침식된 퇴적물량, 침식한계전단응력(critical shear stress for erosion) 등의 침식매개변수로 표현된다(Maa and Lee, 1997; Ha and Ha, 2021; Seo et al., 2021). 따라서, 축적된 오염물질의 거동 및 확산을 파악하기 위해서는 퇴적물의 물성과 안정도를 파악할 필요성이 있다.
현재 유수지 내 오염물질에 대한 연구는 다수 수행되었으나, 퇴적물 안정도 및 침식 기작에 관한 연구는 상대적으로 미흡한 실정이다. 따라서, 본 연구는 용현 갯골(학익유수지)에서 유수지 내 ‧ 외측 퇴적물 시료를 대상으로 (1) Gust Erosion Microcosm System (GEMS)을 활용한 침식률 실험을 통해 퇴적물 안정도를 평가하고, (2) 퇴적물의 물성과 중금속 농도를 분석하여 공간적 특성을 비교 ‧ 분석하는데 목적이 있다.
2. 연구지역
용현 갯골은 인천광역시 중구와 미추홀구 일대 저지대에서 발생하는 집중호우로 인한 침수 피해를 예방하기 위해 2005년에 조성된 인공 유수지이다. 그러나, 조성 이후 유수지 내부에서 발생하는 악취로 인해 지속적인 주민 민원이 제기되고 있다. 해당 지역은 반폐쇄성 수역으로, 현재는 약 12.76 km²에 달하는 도심 배수유역에서 유입되는 하수를 일시적으로 저장한 후, 강우에 의해 수위가 상승할 시, 배수문을 개방하여 외해로 방류하는 방식으로 운영되고 있다. 갯골 내부에는 10개의 배수문과 6기의 주 펌프가 설치되어 있으며, 최대 방류 유량은 3,120 m³/min에 이른다(Choi et al., 2021; IMC, 2025).
용현 갯골은 남북 방향으로 길게 형성되어 있으며, 내부에는 교량과 두 개의 인공섬이 설치되어 있다(Fig. 1). 인공섬 사이의 협소한 수로를 통해 갯골 내 ‧ 외측간의 물의 유통이 이루어진다. 내측에는 도시 하수관이 인접해 있으며, 폐쇄적인 환경으로 인해 상대적으로 고농도의 오염에 노출될 가능성이 높다(IMC, 2025). 용현 갯골 입구에 인접한 아암 조석 수로에서 수행된 연구에 따르면, 수로 외부에서는 사질 퇴적물과 굴껍질 등이 주로 분포하며, 수로 내부로 갈수록 점차 세립화된 실트질 퇴적물로 전이되는 공간적 입도 변화가 확인되었다(Lee et al., 2024). 한편, 용현 갯골 일대에서는 과거에 매우 높은 수준의 중금속 농도(납: >120.0 mg/kg; 니켈: >170.0 mg/kg)가 보고된 바 있다(IMC, 1998).
3. 재료 및 방법
3.1 퇴적물 시료 채취
퇴적물 안정도를 분석하기 위해 2024년 6월 13일 용현 갯골 내측(YH1)과 외측(YH2)의 퇴적물 코어를 획득하였다(Fig. 1). 퇴적물 코어의 건조를 방지하기 위해 해수를 분무하여 코어 상단부를 채웠으며, 운반 중 누수를 방지하기 위해 상 ‧ 하단을 플라스틱 마개로 밀봉하였다. 퇴적물 코어의 오염 및 물리적 변형을 최소화하기 위해 획득 후, 2시간 이내에 침식률 실험을 수행하였다(Ha et al., 2023). 또한, 퇴적물 물성과 중금속 농도 분석에 사용하기 위해 각 정점별 추가적인 퇴적물 시료를 채집하였다.
3.2 퇴적물 물성 및 중금속 분석
퇴적물 입도 분포 분석을 위해 해양환경공정시험기준(MOF, 2023)에 따라 표층 퇴적물 시료를 전처리하였다. 전처리 과정에서 시료에 증류수를 첨가한 후, 퇴적물이 완전히 가라앉은 상태에서 상등액을 제거하는 과정을 3회 반복하였다. 이후, 퇴적물 응집체를 분산시키기 위해 2% 칼곤 용액((NaPO3)6)을 주입하였으며, 레이저 회절 입도분석기(Mastersizer 3000, Malvern Panalytical)를 사용하여 10 nm–3.5 mm 범위의 입도 분포를 측정하였다.
퇴적물 시료 내 유기물 함량은 퇴적물을 고온 가열 후, 무게 감소량을 측정하는 강열감량법(ignition loss)을 이용하여 분석하였다(MOF, 2023). 건조된 퇴적물 시료는 막자사발을 이용하여 곱게 분쇄한 후, 시료가 담긴 도가니를 전기로에서 550°C로 2시간 동안 가열하였다. 가열 전 ‧ 후의 시료 무게 차이를 측정하여, 가열 전 무게 대비 손실된 무게를 유기물 함량으로 산정하였다. 또한, 퇴적물 시료 내 구리(Cu), 납(Pb), 니켈(Ni), 아연(Zn), 카드뮴(Cd), 코발트(Co)의 중금속 농도를 정량 분석하였다. 시료는 60 °C에서 48시간 동안 건조한 후, 막자 사발을 사용하여 곱게 분쇄하였다. 중금속 농도 분석은 인하대학교 표준분석연구원에 의뢰하여 유도결합 플라즈마 방출분광기(Inductively Coupled Plasma Atomic Emission Spectroscopy, ICP-AES)를 사용하여 수행하였다. 분석 장비는 PerkinElmer에서 제작된 Optima 7300DV 모델이다(Baek et al., 2010; Kim and Jang, 2011).
3.3 퇴적물 침식률 실험
침식률 실험은 Green Eyes에서 제작된 GEMS를 이용하여 수행하였다. GEMS는 퇴적물 코어 상단부에 인위적으로 설정된 바닥전단응력을 단계적으로 가하여 표층 퇴적물의 침식을 유도하는 장비로, 본 실험에서는 0.01, 0.05, 0.1, 0.2, 0.3, 0.45, 0.6 Pa의 7단계 전단응력을 각 단계당 20분씩 순차적으로 적용하였다(Fig. 2; Gust and Müller, 1997). GEMS는 크게 실험장치부와 제어장치부로 구성되어 있다. 실험장치부는 퇴적물 코어, 침식헤더, 펌프, 탁도계로 구성되어 있으며, 전단응력을 제어하는 제어장치부는 컨트롤 박스, 펌프 컨트롤러, 제어용 컴퓨터로 구성되어 있다(Ha et al., 2023). 퇴적물 코어는 지름 10 cm, 길이 45 cm의 폴리카보네이트(polycarbonate) 튜브를 사용하였다. 침식헤더는 표층 퇴적물로부터 10 cm 상부에 배치하였다(Dickhudt et al., 2011). 실험과정에서 침식된 퇴적물은 실험수와 함께 탁도계로 이동되어 탁도 값으로 표출된다. 실험수는 1 L 단위로 채수되어 유리섬유필터지(공극: 0.7 μm)를 통해 걸러진 뒤, 건중량 측정 과정을 통해 부유퇴적물농도로 계산된다. 이때 탁도와 부유퇴적물농도의 선형회귀를 통해 얻은 기울기와 y절편을 사용하여, 침식률 및 침식된 퇴적물량을 계산하였다(Fig. 3; Ha et al., 2018; Seo et al., 2021). 최초침식한계전단응력은 침식률을 각 단계별로 평균한 후, 각 단계별 전단응력과 침식률의 평균값을 x축으로 외삽하여 산정하였다(Jeong et al., 2023).
퇴적물의 침식유형은 Type-Ia, Type-Ib, Type-I/II, Type-II로 분류할 수 있다. Type-Ia는 보푸라기층(fluffy layer)의 재부유를 의미한다. Type-Ib는 깊이에 따라 퇴적물의 저항력이 증가하는 침식유형을 의미하며, 일정 한도까지 침식률의 증가 이후, 감소 양상을 보인다. 반면, Type-II는 깊이에 따라 퇴적물의 저항력이 증가하지 않는 침식유형이기 때문에 전단응력이 가해지는 시간 동안 지속적인 침식이 발생한다. Type-I/II는 Type-Ib와 Type-II의 중간 양상을 의미한다(Amos et al., 1992; Sanford and Maa, 2001; Seo et al., 2020). 본 연구에서는 퇴적물의 저항력이 거의 없는 보푸라기층은 침식매개변수 산정에서 제외하였다. 따라서, 최초 침식 반응이 확인된 전단응력 단계로부터 마지막 전단응력 단계까지 침식된 퇴적물량을 종합하여 퇴적물 안정도를 평가하였다.
4. 결과 및 토의
4.1 퇴적물 입도 및 유기물 함량
용현 갯골 표층 퇴적물의 입도 분포 분석 결과, 두 정점(YH1, YH2) 모두 사질 실트(sandy silt)에 해당되었다. 퇴적물 입도 분포는 YH1 정점에서 점토(clay) 7.5%, 실트(silt) 76.7%, 모래(sand) 15.8%로 구성되었으며, YH2 정점에서는 점토 7.2%, 실트 73.9%, 모래 18.9%로 나타났다(Figs. 4(a) and 4(c)). 두 정점 모두 실트질 퇴적물의 비율이 가장 높았다. 중앙입도는 YH1 정점에서 22.1 μm, YH2 정점에서 31.8 μm로 측정되었으며, 갯골 외측에 위치한 YH2 정점에서 상대적으로 더 조립한 입도가 확인되었다. 이는 갯골 내측으로 갈수록 세립한 퇴적물이 우세해지는 공간적 분포특성을 반영한 결과로 해석된다. 유기물 함량의 경우, YH2 정점은 5.1%로 측정된 반면, YH1 정점에서는 10.1%로 약 2배 높은 값을 보였다(Figs. 4(b) and 4(d)).
퇴적물 입도와 유기물 함량의 정점별 차이는 갯골 내 인공구조물(인공섬, 배수문)의 영향으로 인한 수리역학적 환경 차이에 기인한 것으로 해석된다. 특히, YH2 정점의 입도 분포는 YH1 정점에 비해 큰 비대칭성을 보였다(Figs. 4(a) and 4(c)). 이러한 분포 형태 차이는 두 정점의 서로 상이한 유속 환경을 나타낸다(Ramanathan et al., 2009). 배수문 개방으로 유수지 내 물의 흐름이 외해 쪽으로 향할 시, 두 정점 사이에 존재하는 인공섬에 위치한 협소한 수로로 인해 내측에서는 상대적으로 유속이 약한 환경이 조성된다. 그에 따라 YH1 정점 인근의 부유퇴적물의 체류 시간이 증가하면서 세립질 퇴적물의 침강이 유리한 환경이 조성되었을 수 있다. 반면, YH2 정점은 해수 유통이 발생하는 배수문과 가깝게 위치하여 간헐적인 유속 증가에 의해 세립질 퇴적물이 제거되었기 때문에 조립질 퇴적물이 더 우세한 것으로 보인다(Choi, 2001; Nguyen et al., 2022). 따라서, 상대적으로 강한 유속 환경인 YH2 정점의 경우, 유속이 약한 안정적인 환경의 YH1 정점에 비해 입도 분포가 조립 방향으로 더욱 기울어져 있는 것으로 해석된다(Kim et al., 2009; So et al., 2010). 유기물 함량의 경우, 일반적으로 점착성이 높은 세립질 퇴적물에 유기물이 쉽게 흡착하는 경향이 있기 때문에 상대적으로 세립한 YH1 정점에서 유기물 흡착과 보존에 유리한 환경 조건이 형성되었을 수 있다(Figs. 4(b) and 4(d); Xu et al., 2021). 또한, 갯골 내측에 해당하는 YH1 정점 인근에는 약한 유속과 함께 도심으로부터 유입되는 하수관이 위치하고 있어, 도심기원 유기물이 유입되어 흡착될 수 있는 가능성이 높다(Evans et al., 2011; Tansel and Rafiuddin, 2016; Liu et al., 2019; IMC, 2025).
4.2 퇴적물 침식매개변수
퇴적물 침식률 실험 결과, 두 정점에서 퇴적물 침식 양상은 뚜렷한 차이를 보였다. YH1 정점의 경우, 0.01–0.1 Pa의 전단응력 단계에서는 퇴적물 표층에 완전히 퇴적되지 않고 얇게 도포되어 있는 보푸라기층의 침식과 제거가 반복되었기 때문에 침식유형을 Type-Ia로 분류하였다(Seo et al., 2020; Jeong et al., 2023). 0.2 Pa의 전단응력 단계에서 최초로 침식반응이 확인되었으며, 침식률은 12.8 mg/m2s까지 증가하였다가 점진적으로 감소하였다. 0.3 Pa의 전단응력 단계에서도 유사한 침식 양상을 확인할 수 있었으며, 침식률은 31.4 mg/m2s까지 증가하였다가 점진적으로 감소하였다. 따라서 0.2–0.3 Pa 전단응력 단계의 침식유형을 Type-Ib로 분류하였다(Amos et al., 1992). 반면, 0.45–0.6 Pa의 강한 전단응력 단계에서는 침식률이 각각 43.8, 110.7 mg/m2s까지 급격하게 증가하였다가 감소하는 양상을 보였다. 특히, 0.6 Pa의 전단응력 단계에서 매우 급격한 침식률 변화를 보였으며, 최대 침식률은 직전 단계인 0.45 Pa보다 약 2.5배 더 높은 값을 보였다(Fig. 5(a)). 이러한 강한 전단응력 단계에서의 침식률 변화와 각 단계별 침식률 평균값 선형회귀 선의 급격한 굴절을 기준으로 0.45–0.6 Pa의 전단응력 단계에서의 침식유형을 Type-I/II로 분류하였다(Fig. 5(b); Ha and Ha, 2021). 최초침식한계전단응력은 0.13 Pa로 산정되었으며, 침식된 누적 퇴적물량은 121.3 g/m2로 산정되었다(Figs. 5(b) and 6). YH2 정점의 경우, 0.01–0.1 Pa의 전단응력 단계에서 보푸라기층의 지속적인 침식을 보였다. 0.2 Pa의 전단응력 단계에서 최초로 침식 반응이 확인되었으며, 침식률은 3.9 mg/m2s까지 증가하였다가 점진적으로 감소하였다. 이러한 침식 양상은 0.2–0.6 Pa의 전단응력 단계에서 반복되었으며, 침식 유형을 Type-Ib로 분류하였다. 최대 침식률은 각 단계에서 7.2 (0.3 Pa), 29.8 (0.45 Pa), 47.2 (0.6 Pa) mg/m2s까지 증가하였다(Fig. 5(c)). 최초침식한계전단응력은 0.19 Pa로 산정되었으며, 침식된 누적 퇴적물량은 67.6 g/m2로 산정되었다(Figs. 5(d) and 6).

Fig. 5.
(a, c) The time series of erosion rate () and applied bed shear stress () at YH1 and YH2. (b, d) The responses of with stepwise increase in at YH1 and YH2. The red squares and arrows in (b, d) indicate initial critical shear stress for erosion (). The pale gray, yellow, and orange shades in (a, c) indicate Type-Ia, Type-Ib, and Type-I/II, respectively.
정점별 침식매개변수를 비교한 결과, YH2 정점이 YH1 정점보다 상대적으로 침식되기 더 어려운 환경이며, 퇴적물 안정도가 더 높음을 의미한다(Figs. 5 and 6). 이러한 두 정점의 퇴적물 안정도 차이는 표층 퇴적물의 물성으로부터 기인된 것으로 추정된다(Seo et al., 2020). YH2 정점은 YH1 정점과 비교하여 상대적으로 조립한 입도를 가지고 있으며, 유기물 함량 또한 약 2배 더 낮은 값을 보였다(Fig. 4). YH2 정점은 배수문 개방으로 인하여 간헐적으로 강한 유속이 발생하는 위치로, 세립질 퇴적물이 제거되어 침식되기 어려운 조립한 퇴적물이 우세해지기 때문에, 상대적으로 높은 퇴적물 안정도가 나타난 것으로 판단된다(Gregory, 2014). 여러 선행 연구에 따르면, 지속적인 유기물의 유입은 세립질 퇴적물의 압밀을 방해하여 오히려 퇴적물 안정도를 감소시킬 수 있다고 주장하였다(Metha et al., 1982; Song et al., 2018; Zhou et al., 2021). 따라서, YH1 정점은 인접 하수관으로부터의 유기물 공급과 인공섬의 영향으로 약한 유속 환경에 의해 침강된 세립질 퇴적물이 낮은 퇴적물 안정도를 형성했을 것으로 추정된다. YH1 정점에서 가장 두드러지는 침식률의 변화 양상은 최초에 증가한 침식률이 감소하는 과정에서 간헐적으로 급격한 침식률의 증감이 있었다는 점이다(Fig. 5(a)). 이는 점착성 퇴적물의 높은 응집력으로 형성된 응집체에 기인한 것으로 추정된다. YH1 정점은 YH2 정점에 비해 퇴적물이 상대적으로 세립하고 유기물 함량이 높기 때문에, 점착성이 더 큰 것으로 판단된다(Grabowski et al., 2011). 퇴적물 응집체는 침식 현상 발생 시, 퇴적물 단일 입자 단위가 아닌 응집체 전체가 제거된다(Hill et al., 2013; Chen et al., 2022). 응집체가 제거되는 과정은 강한 전단응력이 가해졌을 때 더 자주 발생하며, 이는 0.3–0.6 Pa의 전단응력 단계에서 침식된 퇴적물량이 YH2 정점과 비교하여 크게 증가한 점에서 확인할 수 있다(Fig. 6; Choi et al., 2023).
4.3 퇴적물 중금속 농도 및 오염 특성
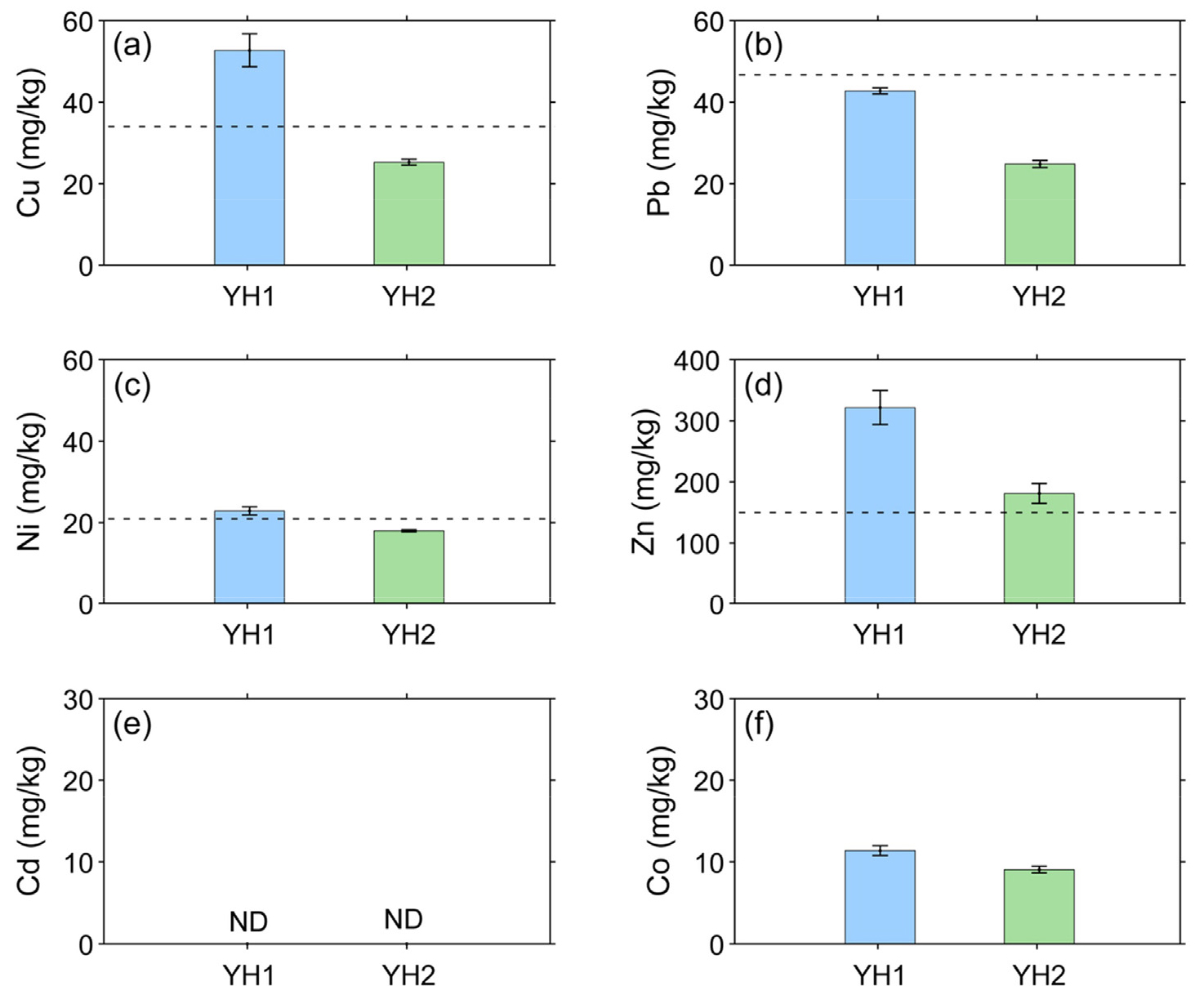
점착성 세립질 퇴적물은 유기물 함량이 높아 중금속과 같은 오염물질이 함께 흡착되어, 장기적으로 축적될 가능성이 높다(Horowitz, 1991; Tansel and Rafiuddin, 2016). 용현 갯골 표층 퇴적물 내 중금속 농도는 YH1 정점에서 각각 구리는 49.8–55.8 mg/kg, 납은 42.2–43.3 mg/kg, 니켈은 22.2–23.6 mg/kg, 아연은 301.9–341.4 mg/kg, 코발트는 11.0–11.8 mg/kg의 범위로 나타났으며, YH2 정점에서 각각 구리는 24.8–25.8 mg/kg, 납은 24.2–25.4 mg/kg, 니켈은 17.9–18.2 mg/kg, 아연은 169.5–192.8 mg/kg, 코발트는 8.8–9.4 mg/kg의 범위로 나타났다(Fig. 7). 결과적으로, 표층 퇴적물 내 중금속 농도는 카드뮴을 제외하고 YH2 정점보다 YH1 정점에서 더 높은 경향을 보였다. 반면, 카드뮴의 경우 두 정점 모두에서 동일하게 불검출 되었다(Fig. 7(e)). 이는 과거 용현 갯골 일대에서 카드뮴 농도가 기준치를 최대 15배 이상 초과했던 사례와 비교할 때, 현재 용현 갯골 내 카드뮴 오염이 상당히 완화되었음을 시사한다(IMC, 1998).

Fig. 7.
Heavy metal concentrations in sediment samples at YH1 and YH2: (a) Cu, (b) Pb, (c) Ni, (d) Zn, (e) Cd, and (f) Co. The horizontal dashed lines in (a–d) indicate Effect Range-Low (ERL) determined by National Oceanic and Atmospheric Administration (NOAA), representing the concentration threshold above which adverse effects on approximately 10% of marine organisms may occur. ND: not detected.
용현 갯골 퇴적물 내 중금속 오염 정도를 파악하기 위해 미국해양대기청(National Oceanic and Atmospheric Administration, NOAA)의 오염 기준인 Effect Range-Low (ERL)의 값으로 비교하였다. ERL은 해양생물의 약 10%에 위해영향을 줄 수 있는 중금속 농도로 정의된다(NOAA, 1999). 그 결과, YH1 정점에서 측정된 구리, 니켈, 아연의 농도는 지정된 ERL 기준치를 초과하였다(Figs. 7(a), 7(c), and 7(d)). YH1 정점에서 구리, 니켈, 아연은 각각 ERL 기준치인 34.0, 20.9, 150.0 mg/kg보다 약 1.5배, 1.1배, 2배 이상 높은 수치를 보였으며, 특히, 아연은 두 정점 모두에서 ERL 기준치를 초과하는 것으로 나타났다. 또한, YH1 정점에서 구리와 아연의 농도는 각각 최대 55.8, 341.4 mg/kg로 2016–2017년 8월 국내 연안 평균값(구리: 14.9 mg/kg, 아연: 73.8 mg/kg)과 비교해도 약 3배 이상 높은 값을 보였다. 납의 경우도 마찬가지로 최대 43.3 mg/kg로 국내 연안 평균값(25.7 mg/kg)을 크게 초과한다(Woo et al., 2019). 또한, 다른 지역과 비교하여도 용현 갯골 내 높은 농도의 중금속 축적은 마산만, 영일만, 부산 연안 등 기존의 중금속 오염이 보고된 지역과 유사하거나 이를 초과하는 수준이다(Hyun et al., 2003; Kim et al., 2008; Hwang et al., 2013). 이는 용현 갯골의 중금속 오염이 단순한 자연기원에 의한 축적을 넘어 인위적 기원에 의한 영향임을 시사한다.
YH1 정점은 인공섬의 영향으로 유속이 약한 환경이며, YH2 정점보다 입도가 세립하고 유기물 함량이 높아 중금속이 퇴적물 입자에 흡착되어 고농도로 축적되기에 유리한 환경이다(Fig. 4; Horowitz, 1991). 또한, YH1 정점은 하수관을 통한 오염물질 및 유기물의 지속적인 유입 지점으로, 퇴적물 오염의 주요 기여원으로 작용할 가능성이 크다(IMC, 2025). Becouze-Lareure et al.(2018)은 새롭게 유입된 물질에 의해 오염된 퇴적물은 오랜 기간 축적된 퇴적물에 비해 해독작용(detoxification)할 시간이 부족하여, 상대적으로 더 높은 독성을 나타낸다고 제시하였다. 퇴적물 침식률 실험 결과, 중금속 농도가 더 높았던 YH1 정점에서 YH2 정점보다 퇴적물 안정도가 낮게 나타났다. 이는 상대적으로 중금속 농도가 높은 퇴적물이 외부 환경으로 보다 쉽게 유출될 수 있음을 시사한다(Figs. 5, 6, and 7). Lee et al.(2024)는 용현 갯골 입구 인근의 아암 조석 수로에서 낙조우세에 의해 퇴적물이 외해로 수송된다고 보고하였다. 또한, Choi et al.(2021)의 모델 연구에서는 용현 갯골로부터 유입된 담수가 신국제 여객터미널 항만의 해수 순환을 지배하는 주요 요인 중 하나로 제시하였다. 이러한 결과는 용현 갯골 내 퇴적물 침식이 발생할 경우, 배수문 개방과 함께 중금속이 흡착된 퇴적물이 외해로 수송되어 인근 항만의 오염을 유발할 수 있음을 시사한다. 따라서, 본 연구는 용현 갯골과 같이 오염된 도심 유수지에서 퇴적물 안정도와 오염물질 특성을 함께 규명함으로써 오염퇴적물의 침식 기작 및 오염물질의 외부확산 가능성을 종합적으로 평가했다는 점에서 중요한 의미를 가진다.
5. 결 론
본 연구는 인천광역시에 위치한 용현 갯골(학익유수지)에서 유수지 내측(YH1)과 외측(YH2)의 퇴적물 안정도를 평가하고, 퇴적물의 물성과 중금속 농도를 분석하여 공간적 차이를 규명하였다. 주요 결론은 다음과 같다:
(1)YH1과 YH2 정점에서 중앙입도는 각각 22.1, 31.8 μm였으며, 유기물 함량은 10.1, 5.1%로 나타났다. 퇴적물 침식률 실험 결과, 최초침식한계전단응력은 YH1 정점에서 0.13 Pa, YH2 정점에서 0.19 Pa였고, 침식된 누적 퇴적물량은 각각 121.3 및 67.6 g/m2로 산정되었다. 또한, YH1 정점은 YH2 정점에 비해 중금속 농도가 높았으며, 구리, 니켈, 아연의 농도는 ERL 기준치 대비 각각 약 1.5배, 1.1배, 2배 이상 초과하였다.
(2)YH1 정점은 인공섬의 영향으로 유속이 약하고, 인근 하수관으로부터 지속적인 유기물 유입으로 인해 세립질 퇴적물의 압밀이 약화되어 퇴적물 안정도가 낮게 나타난 것으로 보인다. YH2 정점은 배수문 개방 시, 간헐적으로 발생하는 강한 유속에 의해 세립질 퇴적물이 제거되어, 침식되기 어려운 조립질 퇴적물이 더 우세하게 분포함으로써, 높은 퇴적물 안정도가 나타난 것으로 해석된다. 또한, YH1 정점은 YH2 정점에 비해 퇴적물이 세립하고 유기물 함량이 높아 점착성이 크며, 이로 인해 퇴적물 응집체가 형성되어, 0.3–0.6 Pa의 강한 전단응력 단계에서 침식된 퇴적물량이 급격하게 증가한 것으로 보인다.
(3)YH1 정점은 인근 도시 하수관으로부터 오염물질과 유기물이 지속적으로 유입되고 있으며, YH2 정점보다 점착성이 높아 중금속이 퇴적물 입자에 흡착되어 고농도로 축적될 가능성이 높다. 침식률 실험 결과는 중금속 농도가 높은 YH1 정점의 퇴적물이 YH2 정점보다 침식에 의해 외부로 쉽게 유출될 수 있음을 보여준다. 용현 갯골 입구에 위치한 아암 조석 수로의 퇴적물은 낙조 우세에 의해 외해로 수송되며, 갯골에서 유입된 담수는 인근 항만의 해수 순환에 영향을 미친다. 따라서, 오염된 도심 유수지에서 퇴적물 안정도와 오염물질 특성에 대한 규명은 오염퇴적물의 침식 기작 및 오염물질의 외부확산 가능성을 평가하기 위해 필요하다.







