1. 서 론
2. 조사지점 및 방법
2.1 조사지점
2.2 분석 방법
3. 결과 및 토의
3.1 금강하구와 서해안 타 지역 간 수질등급 비교
3.2 연도별 금강하구 수질변화 평가
3.3 연도별 새만금 해역 수질변화 평가
4. 결 론
1. 서 론
이차전지 산업은 탄소중립 실현과 친환경 에너지 전환을 위한 핵심 산업으로 주목받고 있으며, 특히 전기자동차 보급 확대에 따라 전 세계적으로 배터리 수요가 급격히 증가하고 있다. 이러한 산업 성장에 발맞추어 대한민국 정부는 ‘2030 이차전지 산업 발전 전략’을 수립하고 국가 전략산업으로 집중 육성하고 있으며, 그 일환으로 2023년 전라북도 새만금 지역을 ‘국가첨단전략산업 이차전지 특화단지’로 지정하였다(Chae et al., 2025). 이후 국내외 대규모 기업들이 투자에 나서며, 새만금산단은 2025년부터 본격적인 기업 입주 및 공장 가동이 시작될 예정이다. 현재 새만금 산업단지에는 총 50개의 이차전지 관련 기업이 입주해 있으며, 이 중 7개소는 이미 공장 가동을 시작한 상태이다(Jeonbuk Domin Ilbo, 2024). 조사에 따르면, 이들 사업장의 약 88%는 폐수를 해양으로 직접 방류하고 있으며, 나머지는 간접 방류(12%), 위탁 처리(0.4%), 또는 재이용(0.09%) 등의 방식으로 처리하고 있는 것으로 나타났다(Jeonbuk Domin Ilbo, 2024). 이들 기업들이 본격적으로 가동될 경우, 일일 폐수 배출량은 약 10만 톤에 이를 것으로 전망된다(Jeonbuk Domin Ilbo, 2024).
그러나 이차전지 산업의 성장과 함께 고농도의 폐수 발생, 특히 고염도 및 중금속 오염물질의 방류에 따른 해양 환경 영향이 주요 사회·환경 이슈로 대두되고 있다. 이차전지 제조 및 재활용 과정에서는 리튬, 니켈, 코발트, 망간 등의 중금속뿐만 아니라 불화수소, 염산, 황산 등 유해화학물질이 사용되며, 이로 인해 고염도·고농도 폐수가 대량으로 배출된다(Vieceli et al., 2021). 최근 보고에 따르면, 새만금 및 포항 지역의 이차전지 산업단지에서는 하루 수만 톤에서 최대 10만톤에 달하는 고염도 폐수가 발생할 것으로 예측되고 있으며, 새만금위원회는 공공폐수처리장의 증설과 공동 배출관 설치 등을 통해 외해로의 방류를 계획하고 있다(Chae et al., 2025). 그러나 해당 폐수는 일반 산업단지의 배출수보다 염분 농도와 생태독성이 현저히 높으며, 이는 연안 해양 생물 및 수질환경에 중대한 영향을 줄 수 있다(Chae et al., 2025). 특히 염분 농도의 변화는 해양 생물의 삼투압 조절, 생존률, 번식력 등에 직접적인 영향을 주며, 부영양화와 시안박테리아 등 유해조류의 발생 가능성도 함께 제기되고 있다(Dildar et al., 2025).
이러한 배경 속에서, 본 연구는 새만금 이차전지 산업단지의 본격 가동 시점을 전후로 한 연안 해역의 해양 수질 변화를 실측 자료에 기반하여 정량적으로 분석하고자 한다. 특히 본 연구는 해양수산부의 해양환경정보포털(MEIS, Marine Environmental Information System) (MEIS, 2025)에서 제공하는 수질자동측정망(Water Quality Automatic Monitoring System) 및 해양환경측정망(Marine Environmental Monitoring Network)의 공식 데이터를 활용하여, 군산시 금강하구 및 새만금을 중심으로 한 해역에서 2022년부터 2025년까지의 염분, 질소, 인, 시안박테리아 등 주요 수질지표의 연도별 변화 추이를 분석하였다. 이와 같은 접근은 단순 모니터링 수준을 넘어, 공신력 있는 자동측정망 기반의 시계열 데이터를 활용한 정량적이고 통계적인 해양환경 영향 평가라는 점에서 의의가 있다.
본 연구에서는 특히 염분 농도 증가를 핵심 지표로 설정하고, 주요 수질 항목 간 상관성 분석 및 통계적 분석을 통해 산업단지의 개발과 가동이 연안 해양 환경에 미치는 잠재적 영향을 과학적으로 규명하고자 한다. 또한, 수질 자동측정망 데이터 기반의 분석은 해양환경정책 수립, 폐수관리 기준 설정, 환경영향 사전예방 등에 활용 가능한 기초자료로 기능할 수 있다. 나아가 이차전지 산업의 지속가능한 성장과 지역사회의 환경안전을 동시에 도모하기 위한 과학적 기반을 제공하는 데 본 연구의 목적이 있다.
2. 조사지점 및 방법
2.1 조사지점
본 연구에서는 해양수산부의 해양환경정보포털에서 제공하는 공식 수질 관측자료를 기반으로, 수질자동측정망 및 해양환경측정망의 데이터를 활용하였다(MEIS, 2025). 조사 대상 해역은 새만금 이차전지 산업단지로부터의 영향이 직·간접적으로 미칠 수 있는 서해 연안의 두 지점, 즉 금강하구와 새만금 인근 해역이다. 이 두 지점은 군산시 연안과 새만금방조제 인근에 위치하고 있으며, 각각 주요 하구 수계 및 인공 구조물로 인한 유수 흐름의 변화가 예상되는 지역이다.
수집된 수질 자료는 2022년부터 2025년까지의 4개년 기간 동안 측정된 결과이며, 2025년 데이터는 1월부터 5월까지 결과이다. 연도별 농도 추이를 비교 분석할 때, 계절적 편향(seasonal bias)을 최소화하기 위하여 2022년부터 2024년까지의 자료 또한 동일한 기간(1–5월)의 데이터만을 추출하여 분석에 활용하였다. 이를 통해 연도 간의 비교에서 계절에 따른 영향을 배제하고, 보다 정확한 시계열 분석이 가능하도록 하였다. 해당 기간 중 장비 이상, 측정 오류, 결과 미수신, 또는 자료 비공개 등으로 인해 측정값이 보고되지 않거나 신뢰도가 낮은 시점의 데이터는 분석에서 제외하였다. 자료 수집 시 포함된 수질 항목은 다음과 같다: 수소이온농도(pH), 전기전도도(EC), 용존산소(DO), 탁도(NTU), 염분(PSU), 화학적 산소요구량(COD), 질산성질소(NO3⁻-N), 인산성인(PO43⁻-P), 남조류(Cyanobacteria), 그리고 수질지수(WQI, Water Quality Index).
두 조사지점의 위치는 위성지도 상에서도 명확히 구분되며, 지리적 좌표와 행정구역은 Fig. 1에 나타냈다. 금강하구는 충남 서천군과 전북 군산시 경계 부근에 위치하며, 새만금 지점은 전북 부안군과 군산시 사이의 새만금방조제 외측에 해당한다. 이들 지점은 새만금 산업단지의 폐수 방류 영향을 가장 민감하게 반영할 수 있는 해역으로 판단되며, 연도별 수질 변화 추세 분석을 통해 개발사업에 따른 환경 영향을 정량적으로 평가하는 데 기초자료로 활용되었다.
2.2 분석 방법
각 수질 항목별로 연도별 특성을 파악하기 위해 기하평균(geometric mean), 최소값(min), 최대값(max), 제1사분위수(Q1) 및 제3사분위수(Q3)를 산출하여 박스플롯 형태로 시각화하였다. 이와 같은 기초 통계값 계산과 도표 작성은 Excel을 활용하여 처리되었다.
정규성 검정을 위해 Kolmogorov-Smirnov test를 수행한 결과, 대부분의 수질항목들이 정규분포를 따르지 않는 비정규성 특성을 보였다. 이에 따라 연도별 수질 데이터 변화의 유의성 검정은 비모수 통계 방법인 Kruskal-Wallis H test를 적용하였다. 검정의 유의성 판단 기준으로는 p-value<0.05를 사용하였으며, 통계적 유의성이 인정된 항목에 대해서는 연도 간 수질 변화 경향을 중점적으로 분석하였다. 모든 통계처리 및 검정은 IBM SPSS Statistics 27.0을 통해 수행되었으며, 통계분석 결과는 본문 및 결과 표에 정리하여 제시하였다.
3. 결과 및 토의
3.1 금강하구와 서해안 타 지역 간 수질등급 비교
본 연구에서는 해양환경측정망 데이터를 활용하여 2023년부터 2025년까지 3개년에 걸쳐 금강하구와 금강하구 이외의 서해안 지역, 즉 태안, 가로림만, 대산 해역의 WQI 등급을 비교 분석하였다(MEIS, 2025). WQI 등급별 비율은 Fig. 2에 제시되었다.
비교 결과, 금강하구 이외 지역에서는 Grade I(매우 좋음)과 Grade II(좋음) 등급이 각각 58%, 42%로 전체 100%를 차지하여, 전반적으로 양호한 수질 상태를 유지하고 있는 것으로 나타났다. 반면, 금강하구에서는 Grade I이 17%, Grade II가 47%로, 양호 수질 등급이 전체의 64%에 그쳤으며, 나머지 36%는 Grade III(보통, 15%), Grade IV(나쁨, 13%), Grade V(매우 나쁨, 8%) 등으로 분포하여, 상대적으로 수질이 저하된 경향을 보였다.
이러한 결과는 금강하구 해역이 금강 하천과 새만금 개발지역의 영향을 직접적으로 받는 지역적 특성과 관련이 있을 가능성을 시사한다. 금강하구는 유역면적이 넓고, 상류에서 농업, 도시, 산업 지역으로부터 오염물질이 지속적으로 유입되는 구조를 가지고 있으며, 하구의 물리적 특성상 체류시간이 길어 오염물의 희석 및 자정 능력이 상대적으로 낮은 경향이 있다. 특히, 최근 군산 및 새만금 이차전지 산업단지의 개발과 함께, 고염도 및 고농도 폐수, 유기물, 영양염 등의 유입 가능성이 점차 증가하고 있으며, 이는 수질지수 저하와 관련된 잠재적 요인으로 작용할 수 있다.
또한, 금강하구는 조석의 영향과 방조제 구조물로 인해 해수의 교환이 제한적이고, 이로 인해 체류성 오염물질의 농축이 발생하기 쉬운 조건을 갖고 있다. 실제로, WQI 등급 분포에서 나타난 Grade IV 및 Grade V의 비율은 금강하구가 기존의 다른 서해안 지역보다 수질 악화 가능성이 크고, 연안 생태계에 미치는 영향 또한 무시할 수 없음을 시사한다.
이와 같은 결과는 향후 금강하구 일대의 수질관리 대책 수립 시, 지역 맞춤형 오염원 저감정책, 유량 조절 및 해수교환 활성화 방안, 산업단지 배출수 관리강화 등의 통합적 접근이 필요함을 보여준다. 특히 새만금 이차전지 산업단지의 본격적인 가동이 2025년부터 시작된다는 점에서, 해당 해역의 수질 변화 추이를 지속적이고 정밀하게 모니터링하는 것이 시급하다.
3.2 연도별 금강하구 수질변화 평가
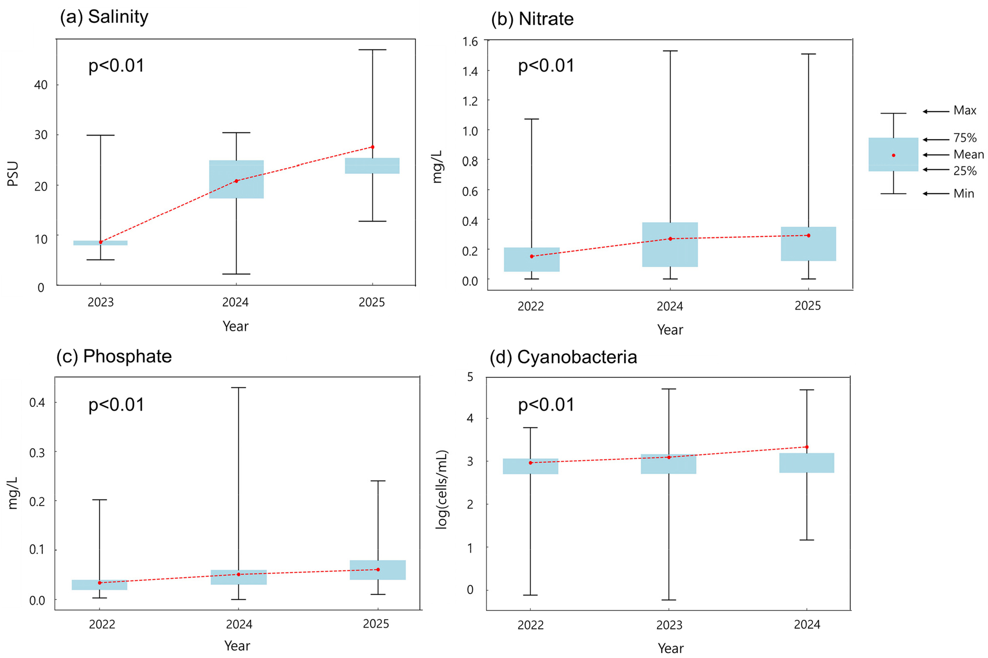
본 연구는 새만금 이차전지 산업단지의 본격적인 입주·가동이 시작되기 직전인 2022년부터, 입주가 본격화되는 2025년까지의 4년간 금강하구 수질자동측정망 자료를 분석하여 주요 수질항목의 연도별 변화를 정량적으로 평가하였다(MEIS, 2025). 전체 기간동안 수질항목 결과값은 Table 1에 나타냈으며, 이차전지 산업단지 입주가 금강하구 해역 수질변화에 미치는 영향을 살펴보기 위하여 2025년 1월부터 5월까지의 수질항목 결과값과 다른 연도, 동일한 기간의 수질 항목 결과값을 비교하여 Fig. 3에 나타냈다. 그 결과, 염분, 질산성질소, 인산성인, 남조류을 포함한 대부분의 항목에서 변동이 확인되었으며, 일부 항목은 통계적으로 유의한 증가를 보였다. 이러한 변화는 금강하구 해역의 환경질이 점차 변화하고 있음을 시사하며, 이차전지 산업단지 조성 및 운영이 해당 수역의 해양환경에 미치는 영향을 가늠할 수 있는 중요한 자료로 해석된다.
Table 1.
Summary statistics (mean, minimum, first quartile, third quartile, and maximum) of water quality parameters measured at the Geum River Estuary from 2022 to 2025. The parameters include electrical conductivity (EC), pH, dissolved oxygen (DO), turbidity, salinity, chemical oxygen demand (COD), nitrate, phosphate, and cyanobacteria
특히 주목할 만한 항목은 염분 농도이다. 평균 염분은 2023년 14.0 PSU에서 2024년 20.6 PSU, 2025년에는 27.6 PSU로 3년간 약 2배 가까이 상승하였다(MEIS, 2025). 염분은 해수 순환과 담수 유입의 상대적 균형에 민감하게 반응하는 항목으로, 일반적으로 해안 하구역에서는 강우량, 하천 유량, 조석 등에 따라 계절적 변동이 발생한다(Bickley and Anderson, 2025). 그러나 본 연구에서 분석한 염분 변화는 계절변화 수준을 초과하는 일관되고 통계적으로 유의한 상승 경향(p<0.01)을 보였으며, 이는 물리적 수문 변화 이외의 외부 요인이 작용했음을 시사한다.
이차전지 산업단지에서는 리튬, 니켈, 코발트, 망간 등의 금속성 원료가 다량 사용되며, 이들을 세척·추출·정제하는 과정에서 고염분의 공정수가 대량으로 발생한다(Conte et al., 2025). 특히 해당 산업에서 사용되는 무기산(황산, 염산 등) 및 리튬염은 대부분이 수용성 염으로, 이차전지 생산 폐수의 전기전도도 및 염분 농도를 현저히 증가시키는 주요 원인으로 알려져 있다(Conte et al., 2025). 실제로 이전 연구에 따르면 이차전지 공장의 폐수 염분 농도는 해수 평균 염도를 초과하는 사례도 존재하며, 특히 리튬염 기반 공정은 고도 정수처리를 거치지 않는 경우 주변 해역에 염도 누적을 유발할 수 있다(Chae et al., 2025). 또한 이들 염류는 기존 하수처리장 및 공공 폐수처리시설에서 완전 제거가 어렵기 때문에, 다수 업체가 자체 처리 후 방류하는 방식을 채택하고 있으며, 이에 따라 지역 수계의 염분 누적 문제가 제기되고 있다(Jeonbuk Domin Ilbo, 2024). 이러한 실제 산업 사례는 본 연구에서 관측된 염분 농도 상승 현상이 단순 수문 조건 변화가 아닌 산업 활동과의 관련 가능성을 시사하는 근거로 해석될 수 있다.
전기전도도 항목에서도 이러한 경향을 간접적으로 확인할 수 있었다. 전기전도도는 2023년부터 2025년까지 평균 약 27.1 μS/cm 수준을 유지하였으나, 2025년에는 5,924 μS/cm라는 비정상적으로 높은 최대값(outlier)이 측정되어(MEIS, 2025), 고염도 산업폐수의 일시적 유입 가능성을 강하게 시사한다. 이는 폐수 방류 전 자가처리 시설의 미비, 또는 배출량 증가에 따른 일시적 부하 초과 등으로 인한 염분성 물질의 해역 유입 가능성을 시사하는 자료로 활용될 수 있다. 고염도 수질은 해양 생태계에 심각한 영향을 미칠 수 있으며, 특히 저서생물의 삼투압 불균형, 산소 용해도 저하, 플랑크톤 군집 변화 등의 생물학적 반응을 유도할 수 있다(Dildar et al., 2025).
염분과 함께, 질산성질소와 인산성인 농도 또한 증가 경향을 나타냈다. 질산성질소는 2022년 0.15 mg/L에서 2025년 0.29 mg/L, 인산성인은 0.04 mg/L에서 0.06 mg/L로 각각 증가하였다(MEIS, 2025). 두 항목 모두 수질자동측정망의 감지한계 내에서 변화한 것이며, 증가폭은 작지만 통계적으로는 유의한 결과(p<0.01)로 평가되었다. 이는 산업단지 조성에 수반된 토목공사, 교통 인프라 확장, 비점오염원 유출, 방류수 내 잔류 영양염 등의 복합적인 요인과 관련이 있을 가능성이 있다. 질소와 인 농도의 증가는 부영양화 조건을 유발할 수 있는 중요한 요인으로 작용할 수 있으며, 이는 조류 번식의 기반이 되기 때문에 환경변화를 감지하는 유의한 지표로 간주될 수 있다.
이와 연계되어 남조류 농도도 같은 기간 동안 977 cells/mL에서 2924 cells/mL로 약 3배 증가하였다(MEIS, 2025). 남조류의 증가는 염분 증가와 모순되는 결과처럼 보일 수 있으나, 일부 시안박테리아 속은 고염도 환경에서도 생존 및 적응이 가능한 종을 포함하고 있으며, 특히 Synechococcus나 Trichodesmium과 같은 해양성 남조류는 염분 내성이 뛰어나 다양한 해양 환경에서 번성할 수 있는 것으로 알려져 있다(Pade and Hagemann, 2015). 이러한 종의 존재 가능성을 고려할 때, 염분 상승과 함께 영양염 농도의 증가 및 수온 상승이 복합적으로 작용할 경우, 남조류의 생장이 오히려 촉진될 수 있다. 따라서 이는 산업폐수 유입과 부영양화가 동시에 발생할 경우의 복합적 생태 반응으로 해석될 수 있다.
그 외 항목 중 탁도는 평균 29.7 NTU로 증가했으며, 2025년에는 최대 818 NTU까지 측정되었다(MEIS, 2025). 이는 퇴적물 재부유, 남조류 사멸 후 부유 유기물 증가, 또는 방류수의 비분리 고형물 영향 등으로 해석할 수 있다. 용존산소의 경우, 평균은 12.0 mg/L로 증가하였으나, 최소값은 0.13 mg/L 수준까지 하락한 경우도 있어(MEIS, 2025), 시기적 저산소 상태 가능성도 배제할 수 없다. 화학적 산소요구량은 전체적으로 3.2 mg/L에서 2.5 mg/L로 감소하였지만(MEIS, 2025), 이는 조류 성장에 따른 유기탄소 변환 경로의 변화로 인해 실제 유기오염물 감소로 단정하기는 어렵다.
결론적으로, 금강하구 해역의 수질 변화는 염분, 질소, 인, 남조류를 포함한 여러 항목에서 나타났으며, 특히 염분 농도의 급격한 증가는 고염도 폐수 유입에 따른 해양환경 변화의 초기 신호로 해석될 수 있다. 금강 하구는 과거 하굿둑 건설 이후 해수교환 제한과 부영양화 등의 문제로 이미 수질 악화와 생태계 교란이 지속되어 왔으며(Lee et al., 2023), 이러한 기존의 환경적 스트레스 요인에 더해 최근 조성된 이차전지 산업단지로부터의 고염도 및 고농도 폐수 유입이 중첩되면서, 수질 악화가 가속화될 가능성이 제기된다. 이는 본 연구에서 관측된 수질 항목의 변화가 단일 원인에 의한 것이 아니라, 기존 수문학적 조건과 신규 오염원의 복합적 작용에 기인했을 가능성을 시사한다. 이러한 결과는 향후 이차전지 산업단지에서 발생하는 폐수의 사전처리 강화, 방류량 관리, 장기적 해양 모니터링 체계 구축 등의 관리 전략 수립에 있어 중요한 기초자료로 활용될 수 있으며, 지역 해양 생태계의 회복력 유지를 위한 누적적 환경 부담 관점의 선제적 대응이 요구된다.
3.3 연도별 새만금 해역 수질변화 평가
새만금 해역은 방조제로 인해 해수 유통이 제한된 반폐쇄성 수역이며, 최근 이차전지 산업단지의 대규모 조성이 이루어지면서 향후 수질환경 변화에 대한 우려가 증대되고 있다. 본 연구는 2023년부터 2025년까지 수질자동측정망을 통해 수집된 주요 수질항목들을 분석함으로써, 새만금 해역에서 나타난 수질지표의 변화 양상을 파악하고, 초기 산업단지 가동이 해양환경에 미친 잠재적 영향을 해석하고자 하였다. 전체 기간동안 수질항목 결과값은 Table 2에 나타냈으며, 이차전지 산업단지 입주가 새만금 해역 수질변화에 미치는 영향을 살펴보기 위하여 2025년 1월부터 5월까지의 수질항목 결과값과 다른 연도, 동일한 기간의 수질 항목 결과값을 비교하여 Fig. 4에 나타냈다.
Table 2.
Summary statistics (mean, minimum, first quartile, third quartile, and maximum) of water quality parameters measured in the Saemangeum coastal area from 2023 to 2025. The parameters include electrical conductivity (EC), pH, dissolved oxygen (DO), turbidity, salinity, chemical oxygen demand (COD), nitrate, and phosphate
분석 결과, 총 8개의 수질항목 중 염분과 인산성인 농도에서 통계적으로 유의한 변화가 나타났다. 염분의 경우, 2023년 평균 20.7 PSU에서 2024년 27.6 PSU로 크게 증가하였고, 2025년에도 26.5 PSU 수준을 유지하면서 유의한 증가(p = 0.04)를 보였다(MEIS, 2025). 이러한 염분 상승은 새만금 방조제로 인한 해수유통 제한뿐만 아니라, 산업단지 내 고염도 폐수가 해역에 유입된 영향이 복합적으로 작용한 결과로 해석된다. 특히 이차전지 산업은 리튬, 니켈, 코발트 등의 금속을 정제하는 공정을 포함하고 있어 고농도 염류를 함유한 폐수가 발생하며, 자가처리 후 외해로 방류되는 구조적 특성상 염분 축적 가능성이 높다(Vieceli et al., 2021). 고염분 수질은 해양 생물의 생리적 스트레스를 유발하고, 생태계의 종조성과 생존율에 영향을 줄 수 있는 중요한 환경 요인으로 작용한다(Dildar et al., 2025).
인산성인 농도는 2024년 0.02 mg/L에서 2025년 0.04 mg/L로 2배 증가하였으며(MEIS, 2025), p<0.01 수준에서 통계적 유의성이 확인되었다. 이는 산업단지 내의 폐수 유입, 공사에 따른 토사 침식, 혹은 퇴적물 재용출 등의 영향으로 해석될 수 있으며, 조류 번식 및 부영양화 발생의 환경 조건을 강화시키는 결과로 이어질 수 있다. 비록 현 시점에서는 녹조 또는 남조류 대발생이 보고되지는 않았으나, 인의 누적은 잠재적 수질악화 요인이므로 지속적인 모니터링이 필요하다.
전기전도도는 염분과 유사한 패턴을 보이며 2023년 34.8 μS/cm, 2025년 41.8 μS/cm으로 점진적으로 증가하였다(MEIS, 2025). 이는 용존이온 농도 증가, 특히 염류와 관련된 영향을 시사하며, 염분 상승과 함께 산업폐수 유입의 간접적 지표로 활용 가능하다. pH는 2023년 평균 9.22로 비교적 높았으나, 이후 2024−2025년에는 8.04 및 7.71로 점차 안정화되었으며, 이는 해수의 표준 범위 내에서 변화한 것으로 보인다(MEIS, 2025).
용존산소는 2023년 평균 8.58 mg/L, 2025년 10.8 mg/L으로 증가하는 추세를 보였으나, 2023년 최소값이 0.00 mg/L로 나타나 일시적 저산소 상태가 존재했음을 시사한다(MEIS, 2025). 이는 조류의 사멸이나 유기물 부하 증가에 따른 산소 소비 증가, 또는 유속 저하에 따른 정체 등의 복합적 원인일 수 있다. 이러한 급격한 산소 저하는 국지적 저산소 스트레스를 유발할 수 있으므로 주기적 감시가 요구된다.
탁도는 평균값 기준으로 2023년 23.9 NTU, 2024년 28.1 NTU, 2025년 79.1 NTU로 3년간 증가하는 경향을 보였으며, 특히 2024년과 2025년에는 각각 3902 NTU, 1284 NTU의 극단적 최대값이 관측되었다(MEIS, 2025). 이는 퇴적물 교란, 조류 사멸, 폐수 유입 등으로 인한 부유물질 증가를 반영할 수 있으며, 광 투과율 감소 및 1차 생산성 저해 등의 생태계 변화 가능성을 내포한다(Henley et al., 2000). 비록 p = 0.39로 통계적으로 유의하지는 않았으나, 환경경계 신호로서 중요한 지표라 할 수 있다.
질산성질소는 2023−2025년 동안 평균 농도는 증가하는 경향을 보였으나, 전체 수치가 낮은 수준에 머무르고 있으며 통계적으로도 유의하지 않았다(p=0.25). 하지만 인과 함께 질소 농도 역시 상승세를 보인다는 점에서 장기적인 부영양화 가능성을 경계할 필요가 있다. 화학적 산소요구량은 2024년 평균 1.92 mg/L에서 2025년 1.63 mg/L로 소폭 감소하였으나(MEIS, 2025), 이는 폐수 유입과의 연관성보다는 조류성 유기물의 분석 반응성 차이, 또는 환경적 요인에 따른 자연 변동일 가능성이 있다.
결론적으로, 새만금 해역은 산업단지의 영향이 본격화되는 시점을 기점으로 여러 수질항목에서 변화 경향이 확인되었으며, 염분과 인산성인의 유의한 증가는 산업활동에 의한 수질환경 변화의 초기 신호로 해석될 수 있다. 이러한 결과는 향후 해양환경 변화 예측모델 구축, 산업단지 방류수 기준 정비, 고염도·고영양염 방류수 관리방안 마련 등에 있어 기초자료로 활용될 수 있을 것이며, 나아가 장기적이고 정량적인 수질·생태 통합 모니터링 체계의 필요성을 제시한다.
4. 결 론
본 연구는 해양수산부의 해양환경정보포털에서 제공하는 수질자동측정망 자료를 활용하여, 2022년부터 2025년까지 금강하구와 새만금 해역의 주요 수질항목 변화를 정량적으로 분석하였다. 특히 새만금 이차전지 산업단지의 본격 입주 및 가동이 시작된 2025년을 기준으로, 인접 해역에서 나타나는 수질의 연도별 변화를 평가하고, 산업단지 조성과의 연관성을 탐색하고자 하였다.
금강하구에서는 염분, 질산성질소, 인산성인, 남조류 농도가 모두 통계적으로 유의한 증가를 나타냈다. 특히 염분 농도는 2023년 평균 9.4 PSU에서 2025년 27.6 PSU까지 급증하였으며(MEIS, 2025), 이는 제한된 해수 유통 조건과 더불어, 산업단지에서 유입될 수 있는 고염도 폐수의 누적 효과가 작용했을 가능성을 시사한다. 또한, 질소와 인 농도의 증가는 부영양화 위험 증가와 관련된 주요 요인일 수 있으며, 남조류 농도의 동반 증가는 생태계 내 변화가 일부 진행 중일 가능성을 보여준다. 이와 같은 결과는 산업단지와의 직접적인 수문 연결이 없더라도, 금강하구가 외부 오염원의 간접적인 영향에 민감하게 반응할 수 있는 취약 수역임을 시사하며, 산업단지가 수질 변화에 영향을 미칠 수 있는 강력한 잠재적 요인 중 하나로 고려될 필요가 있다.
새만금 해역에서도 염분과 인산성인 농도에서 유의한 증가가 관측되었으며, 전기전도도, 탁도, 질산성질소 항목에서도 일관된 증가 경향이 나타났다. 산업단지의 입주 및 공정 가동 초기 단계에 해당하는 시점에서 이러한 변화가 관측되었다는 점은, 새만금 산업활동이 수질환경에 초기부터 영향을 미쳤을 가능성을 시사한다. 특히 인산성인의 증가는 해양 생태계 내 생산자 군집 변화, 녹조 발생, 저산소화 등의 2차 환경 문제로 이어질 수 있어 적극적인 관리가 필요하다.
결과적으로, 두 지역 모두 짧은 기간 내 수질 항목의 뚜렷한 변화가 관측되었으며, 이는 산업단지 조성 초기임에도 해양환경에 측정 가능한 영향이 가시화되고 있음을 의미한다. 본 연구는 이차전지 산업단지 조성이 연안 수질에 미치는 잠재적 영향을 실측 기반으로 제시하였으며, 향후 해양 환경보전 및 관리정책 수립 시 기초자료로 활용될 수 있다. 또한, 실시간 자동측정망의 확대와 장기적 통합 모니터링 체계 구축이 산업화 지역의 해양 생태계 보전을 위한 핵심 과제임을 제안한다.






