1. 서 론
2. 재료 및 방법
2.1 조사정점의 설정
2.2 현장조사 및 실험실 분석
2.3 환경요소 분석
2.4 통계분석
3. 결 과
3.1 환경 특성
3.2 종 조성
3.3 대형저서동물의 시간변동
3.4 대형저서동물의 공간분포
3.5 주요 우점종
3.6 저서환경과의 관계
4. 고 찰
5. 결 론
1. 서 론
대형저서동물은 해양의 조간대 혹은 조하대에 서식하는 이동성이 적거나 없는 동물로서 망목 1 mm 체에 걸러지는 동물을 의미한다. 이들은 유기물을 섭취하는 1차 소비자이자 다른 저서생물을 섭식하는 2차 소비자, 포식성 어류와 물새류 등의 상위 포식자의 먹이로 이용되어 해양 먹이사슬에서 중요한 역할을 하고 있다(Szczepanek et al., 2021; Wang et al., 2021; Ziołkowska and Sokołowsk, 2022). 또한 경성기질에 서식하는 따개비 등 고착성 대형저서동물은 다른 생물들에게 미세서식처를 제공하고, 연성기질에 서식하는 저서동물은 굴 파기(burrowing)와 관 형성(tube construction) 등 생물 교란 활동(bioturbation)을 통해 해수와 퇴적물 공극수 사이의 교환을 원활하게 하는 등 다른 저서생물의 서식에 좋은 환경을 제공하는 것으로 알려져 있다(Losi et al., 2018; Zhang et al., 2019).
대형저서동물은 이동성이 약하며, 비교적 생활사가 길고 환경에 대한 내성이 종 마다 달라 저서환경의 변화를 잘 반영하는 것으로 알려져 있다(Boesch and Rosenberg, 1981; Dauvin et al., 2007). 특히 이들의 분포는 해수 중 저층 용존산소와 수온, 염분, 퇴적물의 퇴적상과 유기물 함량 등과 밀접한 관련을 보인다고 보고되었다(Thompson and Lowe, 2004; Soto et al., 2017; Muskananfola et al., 2020). 이러한 대형저서동물의 특성은 과거부터 저서환경을 평가하는데 유용한 생물군으로 여겨졌으며, 국내외에서 AMBI와 저서오염지수(BPI), 저서동물지수(BHI), 건강도 지수(ISEP) 등 다양한 지수 개발의 근거가 되었다(Borja et al., 2003; Borja et al., 2004; Yoo et al., 2011). 이를 통해 해양 환경을 등급화하고 관리하는데 활용되고 있으며, 연구된 대형저서동물 자료는 해양환경 변화를 파악하기 위한 기초자료로서 매우 중요하다.
조하대 연성기질은 저서생태계에서 가장 넓은 서식지로서, 해류 등 다양한 수력학적(Hydrodynamic) 활동에 영향을 받는다(Snelgrove, 1994; Zeiler et al., 2008). 현재까지 우리나라에서 연구된 대형저서동물은 서해의 아산만(Kim et al., 2021), 태안 연안(Lee et al., 2019), 천수만(Jung et al., 2014), 남해의 완도-도암만(Lim et al., 2018), 거제-한산만(Jung et al., 2016), 광양만(Choi et al., 2003), 동해에서는 울진(Hwang et al., 2014)과 강릉(Hong et al., 2004), 월성(Seo et al., 2009b) 등 좁은 범위의 해역이나 하구역 등 환경변화가 심한 해역을 대상 저서동물의 시·공간 변동 양상을 파악하는 목적으로 많이 이루어졌다. 이러한 연구들은 대부분 grab 등 채니기와 선박을 활용하여 연구가 진행되었으나 제주 해역에서는 대륙붕에서의 채니기 활용과 마을 어장 주변 해역 및 경성기질에서 SCUBA를 이용한 조사가 수행되었다(Lim, 2012; Ko et al., 2016). 그 밖의 우리나라에서 넓은 해역을 대상으로 이루어진 연구로 Je(1993)는 우리나라 연안 조하대 전 해역을 조사하고 연체동물의 분포상을 제시하였으며, Choi(1990)는 동해안 대륙붕에서 다모류 군집 및 식성에 대한 연구를 수행하였다. 그러나 이들은 조사시기와 범위가 서로 다르고 일부 분류군을 대상으로 하여 논문 결과들의 상호 비교나 우리나라 연안의 전반적인 대형저서동물 군집을 파악하는데 한계가 있었다.
현재 우리나라는 「해양생태계의 보전 및 관리에 관한 법률」 제 10조, 11조, 12조에 따라 해양생태계의 보전·관리 정책을 수립하기 위해 ‘국가해양생태계 종합조사’라는 명칭으로 광범위한 조사가 이루어지고 있다(MOF and KOEM, 2022). 이 자료를 일부 이용하여 2017년 하계에 우리나라 전 연안의 대형저서동물 공간분포를 파악하였으며(Lee et al., 2022), 2015-2020년 동안 누적된 보고서 자료를 활용하여 우리나라 연안의 대형저서동물 분포와 저서환경 사이의 관계를 파악하였다(Kim et al., 2022a; Kim et al., 2022b; Kim et al., 2023). 이러한 연구들은 일부 해역을 제외한 부분적인 자료 사용과 제한적인 범위의 분석을 통해 결과를 도출하였으나 본 연구에서는 조사기간 전체 범위와 우리나라의 전 해역의 자료를 사용하여 분석하였다.
최근 해양수산부에서는 우리나라 전 연안에 정점을 설정하고 대형저서동물 시·공간분포 특성에 대해 종합적인 연구를 실시하고 있으나 이들 데이터를 단기적으로 분석하거나 누적된 데이터를 합산하여 분석하는 단계에 머물러 있어 세부적인 분석은 이루어지고 있지 않다. 본 연구에서는 우리나라 전 연안의 조하대 연성기질에서 2017~2022년 동안 채집된 대형저서동물 자료를 활용하여 군집구조 및 세부적인 시·공간 변동 특성을 파악하고자 하였다.
2. 재료 및 방법
2.1 조사정점의 설정
우리나라 연안의 조하대 대형저서동물 시·공간 변동 특성을 파악하기 위하여 서해, 남해, 동해 및 제주 연안을 따라 하구역과 내만 등 다양한 해양 환경을 반영할 수 있도록 정점을 설정하였다(Fig. 1). 조사는 2017~2022년 봄철(4월~6월)과 여름철(7월~9월)에 이루어졌으며, 2017년과 2019년, 2021년은 서해와 남해 서부(진도~여수) 및 2018년과 2020년, 2022년은 남해 동부(여수~부산)와 동해, 제주 해역을 조사하였다. 따라서 2017/2018년과 2019/2020년, 2021/2022년을 기준으로 우리나라 전 연안에 대한 봄철과 여름철 대형저서동물 시료가 채집되었으며, 동시에 환경 자료를 수집하였다. 각 시기별 해역별 조사정점의 수는 Table 1에 정리하였다.
Table 1.
Sampling schedule and number of sampling stations of macrozoobenthos in the subtidal soft bottom area of the Korean coastal waters (2017~2022)
2.2 현장조사 및 실험실 분석
대형저서동물 채집을 위해 van Veen grab (0.1 m2)과 Smith-McIntyre grab (0.1 m2)을 사용하여 각 정점당 3회씩 퇴적물을 인양하였으며, 1 mm 망목의 표준체를 이용하여 펄을 제거하였다. 체에 남은 잔존물은 시료봉투에 담아 10% 중성 포르말린으로 고정 후 실험실로 운반하였다. 퇴적환경 분석용 시료는 대형저서동물 채집 면적에 영향을 주지 않기 위해 각 정점에서 추가로 퇴적물을 인양하여 채취하였다.
실험실로 운반된 대형저서동물 시료는 각 분류군별로 저서동물을 선별하였으며, 광학현미경을 이용해 종 수준까지 동정하였고 종 수준까지 어려운 경우 가능한 상위 분류군까지 동정하였다. 또한 종별 개체수와 습중량(gWWt, 0.01 g)을 측정하였으며, 동정된 자료는 단위면적(m2)으로 환산하여 분석에 이용하였다. 종명은 WoRMS (https://www.marinespecies.org)를 기준으로 작성하였으며, 국명은 ‘2025년 국가 해양수산생물종 목록집’을 기준으로 작성하였고 제시된 종목록에 국명이 없을 경우 국가 기관에서 제시된 종목록(ME and NIBR, 2012 등)을 참고하거나 이 또한 없을 경우 상위 분류군 명칭을 사용하였다. 대형저서동물 군집구조 파악을 위해 종 다양도 지수(H’, Shannon and Wiener, 1963)을 계산하였으며, Le Bris index(1988)을 활용하여 개체수 우점종을 선별하였다.
2.3 환경요소 분석
대형저서동물이 서식하는 장소의 수질 및 퇴적환경 요소를 파악하기 위해 수집된 자료는 국가해양생태계 종합조사의 연안생태계 연보(2017~2022)에 공개되어 있어 이를 활용하였다. 분석에 이용한 환경요소로는 각 정점의 조사 당시 수심과 표·저층 수온, 염분, 용존산소(DO), 표층 퇴적물 시료의 퇴적상과 유기물 함량(TOC, %)이었다. 각 항목의 분석은 해양환경공정시험기준(MOF, 2013)을 따랐으며, 각 정점의 퇴적물 조성은 Shepard(1954)의 기준에 따라 퇴적상을 분류하였다.
2.4 통계분석
대형저서동물과 이들의 분포에 영향을 미치는 환경요소 조합을 파악하기 위하여 저층 수질환경 요소와 퇴적환경 요소를 이용하여 Bio-Env. 분석을 실시하였으며, 저서동물군집 요소와 저층 환경 요소의 상관관계를 파악하기 위하여 비모수통계인 Spearman 상관분석을 실시하였다. 또한 주성분 분석(PCA)를 추가로 실시하였는데, 대형저서동물의 출현 종수, 서식밀도, 생체량, 우점종의 서식밀도는 fourth root 변환하였으며, 종 다양도(H’)는 변환없이 사용하였다. 저층 환경 요소에서 수심과 수온, 용존산소량(DO), 퇴적물의 유기물 함량(TOC), 평균입도, 분급도는 log(x+1) 변환하였으며, 퇴적물 조성은 square root 변환하였다. 각 분석에 사용한 프로그램은 Primer (ver. 6)과 SPSS (ver. 23)였다.
3. 결 과
3.1 환경 특성
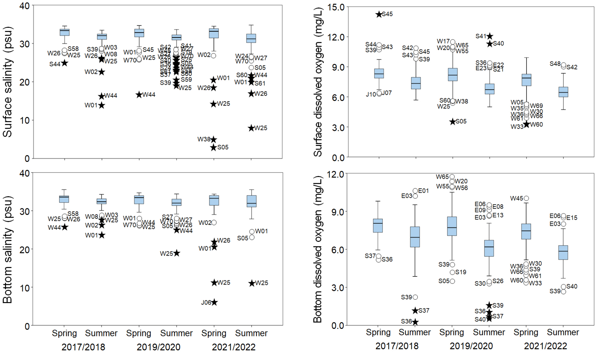
조사 해역의 수질환경을 파악하기 위해 2017/2018년과 2019/2020년, 2021/2022년 봄철과 여름철 자료를 분석하였다. 조사 수심은 봄철과 여름철이 유사하였으며, 동해 연안에 위치한 정점들(E06, E13, E14, E15 등)에서 다른 정점들보다 깊은 수심(66.0~155.0 m)을 보였다(Fig. 2). 표층 수온은 조사기간 동안 봄철이 낮고 여름철이 높은 양상이 일정하였으며, 각 조사시기에서는 유사한 수온 범위를 보였다. 저층 수온 또한 봄철이 낮고 여름철이 높았으며, 동해(E01, E02, E03 등)에서 다른 정점들보다 낮았다(1.2~8.4℃).
표층 염분은 봄철이 여름철보다 다소 높았으나 염분의 변화 폭은 여름철이 더 좁게 나타났으며, 주로 하구역이나 만 내에 위치한 정점들(S05, S39, W01, W25 등)에서 다른 정점들보다 낮은 표층 염분(2.8~28.7 psu)을 보였다(Fig. 3). 저층 염분은 봄철과 여름철이 유사하였으며, 표층과 유사하게 하구역이나 만 내에 위치한 정점들(S05, W01, W25 등)에서 낮은 저층 염분(6.8~29.0 psu)을 보였다. 용존산소량은 표층과 저층 모두 봄철이 여름철보다 높은 양상이 일정하게 나타났으며, 남해의 진해만(S36, S37, S39, S40)에서 여름철 저층의 용존산소량이 0.3~3.0 mg/L으로 빈산소 수괴의 발생이 확인되었다.
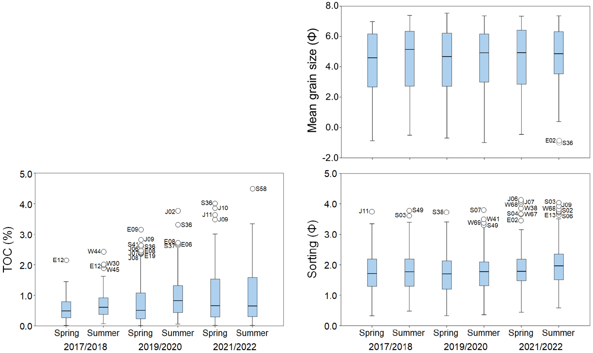
각 정점의 퇴적상을 파악하기 위해 2017-2022년 동안 각 정점의 퇴적물 조성을 평균하여 Shepard(1954) 삼각도법을 기준으로 퇴적상을 분류하였다(Fig. 4). 우리나라 연안의 봄철과 여름철은 유사한 퇴적물 분포를 보였으며, 서해의 인천~변산반도 부근에서는 Sand가 우세한 환경이였고 변산반도~진도 인근에서는 Mud가 우세하거나 Sand와 Mud가 혼합된 퇴적상을 보였다. 남해는 대부분의 정점에서 Mud가 우세하였으며, 완도 인근과 낙동강 부근에서 Sand가 혼합된 퇴적상을 보였다. 동해 북부에서는 Sand가 우세하였으나 중부는 Sand와 Mud가 혼합되어 있고, 남부는 Mud가 우세한 환경이었다. 제주는 북부와 남부에서 Mud가 우세하였으며, 서부와 동부는 Sand가 우세하였다. 따라서 우리나라 연안의 퇴적상은 서해와 동해의 북부는 Sand가 우세하고 남부로 내려올수록 Mud가 우세하였으며, 제주는 해류 등의 영향으로 북부와 남부 및 서부와 동부가 서로 다른 퇴적상을 보였다.
퇴적물의 유기물 함량(TOC)은 조사기간 동안 측정값과 변화 폭이 증가하였다(Fig. 5). 주변의 다른 정점들보다 높은 TOC 함량을 보이는 정점들이 동해(E08, E09, E12 등)와 서해(W30, W44 등)에서 관찰되었으며(1.9~3.2%), 제주(J02, J06, J07 등)에서는 2019/2020년 봄철~2021/2022년 봄철 동안 높았고(2.4~2.9%) 남해는 진해만(S36, S37, S41)과 광양만(S58)에서 높았다(2.6~4.5%). 평균 입도는 봄철과 여름철이 유사하였으며, 2021/2022년 여름철에 동해(E02)와 남해(S36)에서 각각 –0.8Φ 및 –1.0Φ로 다른 정점보다 조립하였다. 분급도 또한 봄철과 여름철이 유사하였으며, Folk(1968)의 분급도 분류에 따르면 서해(W38, W41 등)와 남해 서부(S02, S03 등), 동해(E03, E12)에서는 매우 불량(very poorly sorted, 2.0~4.0Φ) 및 제주(J06, J07, J09)에서 극히 매우 불량(extremely poorly sorted, 4.0Φ<)으로 다른 정점들보다 높았다.
3.2 종 조성
2017~2022년 봄철과 여름철 동안 총 1,458종/298.2 m2, 평균 서식밀도는 1,398±2,636 ind./m2, 평균 생체량은 156.4±1,049.3 gWWt/m2의 대형저서동물이 출현하였다(Table 2). 출현 종수는 환형동물이 454종(약 31.1%)으로 최우점 분류군이었으며, 연체동물이 446종(약 30.6%)으로 두 번째 우점 분류군이었다. 서식밀도는 환형동물이 978±1,950 ind./m2(약 69.9%)로 최우점 분류군이었으며, 절지동물이 206±406 ind./m2(약 14.7%)로 두 번째 우점 분류군이었다. 생체량은 기타 분류군이 68.3±1,001.0 gWWt/m2(약 43.7%)으로 최우점 분류군이었으며, 극피동물이 34.7±92.0 gWWt/m2(약 22.2%)으로 두 번째 우점 분류군이었다.
Table 2.
Number of species, abundance and biomass of macrozoobentos of study area in spring and summer (2017~2022). Numbers in parenthesis indicate percentage
3.3 대형저서동물의 시간변동
출현 종수는 2017/2018년 봄철에 795종/49.5 m2이 출현하였으며, 2019/2020년 여름철에 698종/50.1 m2으로 감소하였으나 2021/2022년 봄철에 739종/49.5 m2으로 다시 증가하였다(Fig. 6). 동일 조사시기에서는 봄철이 여름철보다 높았으며, 환형동물에서도 이와 유사하였다. 서식밀도는 2017/2018년 봄철의 993 ind./m2에서 2021/2022년 여름철의 1,788 ind./m2로 증가하였으며, 출현 종수와 유사하게 봄철이 여름철보다 높은 서식밀도를 보였다. 환형동물은 2017/2018년 여름철에 921 ind./m2로 가장 낮았으나 이후 지속적으로 증가하여 2021/2022년 여름철에 1,244 ind./m2로 가장 높은 서식밀도를 보였으며, 연체동물과 절지동물의 서식밀도는 봄철이 높고 여름철이 낮은 시간변동을 보였다. 생체량은 2017/2018년 봄철(435.4 gWWt/m2)과 2019/2020년 봄철(130.0 gWWt/m2) 많았으며, 그 밖의 조사시기에서는 86.2~104.5 gWWt/m2 범위였다. 기타 분류군은 2017/2018년 봄철에 357.0 gWWt/m2으로 가장 많았으나 그 밖의 조사시기에서는 5.9~14.7 gWWt/m2으로 유사하였다. 종 다양도 지수는 조사기간 동안 2.7~2.8로 유사하였다.
3.4 대형저서동물의 공간분포
우리나라 연안의 대형저서동물 종수의 공간분포 양상은 서해의 경우 중부에서 2017~2022년 동안 지속적으로 증가하여 80종/0.3 m2 이상이 출현하였으며, 서해 남부의 신안 인근에서는 조사기간 동안 40종/0.3 m2 이하로 낮았다(Fig. 7). 또한 2021/2022년에 대부도 인근(W53)에서 봄철(144종/0.3 m2)에 가장 많았으며, 금강 하구역(W27)에서도 2021/2022년 봄철(135종/0.3 m2)과 여름철(133종/0.3 m2)에 많았다. 그러나 2017/2018년에 봄철의 천수만(W16, 2종/0.3 m2)과 여름철의 신안 인근(W38, 2종/0.3 m2)에서 가장 적었다. 남해에서는 조사기간 동안 진도~완도(S02, S03, S07, S49 등)에서 다른 정점들보다 많은 종수(97~147종/0.3 m2)를 보였다(Fig. 8). 특히 2017/2018년 여름철에 완도 인근(S07)에서 147종/0.3 m2으로 가장 많았으며, 이 정점에서는 다른 조사시기에서도 93~119종/0.3 m2으로 많은 종수를 보였다. 그러나 내만에 위치한 도암만(S05, S06)과 진해만(S39, S40, S41) 등에서는 조사기간 동안 40종/0.3 m2 이하로 적었다. 동해는 조사기간 동안 북부와 중부에서 대체로 41~80종/0.3 m2 범위를 보였으며, 동해 남부의 정점들(E20~E23)에서는 대부분의 조사시기 동안 30종/0.3 m2 이하로 출현하였다. 제주에서는 조사기간 동안 북부와 남부에 위치한 정점들에서 60종/0.3 m2 이상이 출현하였으나 서부와 동부에 위치한 정점들에서는 40종/0.3 m2 이하의 양상이 지속적으로 관찰되었다.
서식밀도의 공간분포 양상은 2017/2018년 봄철과 여름철의 대부분의 정점에서 1,000 ind./m2 이하였으나, 2019/2020년 봄철부터 2021/2022년 여름철까지 중부에 위치한 정점들에서 2,000 ind./m2 이상이 출현하였다(Fig. 7). 그러나 서해의 신안 외측 정점들에서는 조사기간 동안 1,000 ind/m2 이하였다. 남해의 서부 정점들에서는 2017/2018년 봄철과 여름철에 2,000 ind./m2 이상으로 높았으나, 점차 감소하여 2019/2020년 여름철에는 1,000 ind./m2 이하였다. 남해 동부 정점들에서는 2017/2018년 봄철에 대분의 정점에서 1,000 ind./m2 이하였으나, 이후 증가하여 2,000 ind./m2 이상이 출현하였다. 동해에서는 북부와 중부 대부분의 정점들이 조사기간 동안 1,000 ind./m2 이상이었으나, 남부에 위치한 정점들은 1,000 ind./m2 이하로 적었다. 제주에서는 북부와 남부에 위치한 정점들에서 2017/2018년 봄철과 여름철에 2,000 ind./m2 이하로 낮았으나, 이후 증가하여 일부 정점에서 2,000 ind./m2 이상이었고 서부와 동부에서는 대부분의 정점 및 조사기간 동안 1,000 ind./m2 이하로 낮았다. 이러한 서식밀도의 변화는 주로 환형동물의 변화에 영향을 받았으며, 다른 정점들보다 높은 서식밀도를 보인 대부분의 정점들이 각 정점의 상위 우점종들의 서식밀도 증가에 영향을 받았다. 그러나 일부 정점들(W25, W27, S59 등)에서는 고리버들갯지렁이(Heteromastus filiformis)와 쇄방사늑조개(Potamocorbula amurensis), 아기반투명조개(Theora lata) 등 오염지시종이나 기수종 등 특정 종의 대량 출현에 영향을 받았다.
생체량의 공간분포 양상은 뚜렷한 계절변동을 보이지는 않았으며, 서해와 제주보다는 남해와 동해에서 다른 해역보다 많았다(Fig. 8, Fig. 9). 서해의 경우 중부에 위치한 대부분의 정점에서 2017/2018년 봄철과 여름철에 150 gWWt/m2 이하로 출현하였으나, 이후 점차 증가하여 2021/2022년 여름철에는 150 gWWt/m2 이상이었다. 서해 남부에서는 조사기간 동안 신안 외측에 위치한 대부분의 정점들에서 50 gWWt/m2 이하였으나, 신안과 목포 사이의 일부 정점들에서 150 gWWt/m2 이상이 출현하였다. 남해에서는 조사기간 동안 서부와 동부 모두 150 gWWt/m2 이상이 출현하였으나 부산 인근에서는 50 gWWt/m2 이하로 적었다. 동해에서는 2017/2018년 봄철과 여름철, 2021/2022년 봄철에 북부와 중부에 위치한 정점들에서 150 gWWt/m2 이상이었으나, 2021/2022년 여름철에는 북부에서 100 gWWt/m2 이하로 감소하였다. 제주에서는 대체로 북부 정점들에서 50 gWWt/m2 이상이 출현하였으며, 그 밖의 정점들에서는 50 gWWt/m2 이하였다. 생체량의 출현 양상에는 피조개(Anadara broughtonii), 염통성게(Schizaster lacunosus) 등 개체의 크기가 크거나 종밋(Arcuatula senhousia), 쇄방사늑조개(P. amurensis) 등 높은 서식밀도를 보이는 저서동물의 출현에 영향을 받았다.
종 다양도의 공간분포 양상은 뚜렷한 시간변동을 보이지는 않았으나, 남해의 진해만(S36, S39, S40 등)에서 빈산소 수괴의 발생으로 인해 여름철에 다른 해역들보다 낮은 종 다양도를 보였다(Fig. 8, Fig. 9). 종 다양도는 출현 종수와 유사하였는데, 서해에서는 2017/2018년 여름철 ~ 2021/2022년 여름철 동안 북부와 중부에 위치한 정점들에서 3.0 이상으로 높았으며, 신안 외측 정점들에서도 2.5 이상이었다. 남해에서도 서부와 동부 모두 조사기간 동안 3.0 이상이었으나, 진해만(S39, S40, S41 등)에서 지속적으로 낮은 종 다양도를 보였고 동해에서는 종수와 서식밀도가 높았던 중부에서 3.0 이하였다. 제주에서는 다른 해역들보다 출현 종수와 서식밀도는 낮았으나 종 다양도는 대부분의 정점에서 3.0 이상으로 높았다.
3.5 주요 우점종
2017~2022년 동안의 우점종을 파악하기 위하여 서식밀도와 출현빈도를 동시에 고려한 Le Bris Index (Le Bris, 1988)를 활용하여 상위 10종을 선정하였으며, 이 중 환형동물은 9종, 연체동물이 1종이었다(Table 3). 최우점종인 고리버들갯지렁이(Heteromastus filiformis)는 조사기간 동안 평균 51±213 ind./m2가 출현하여 전체 서식밀도의 약 5.7%를 점유하였고 가장 많은 723개 정점에서 출현하였다. 이 종은 2017/2018년 봄철의 평균 38±151 ind./m2에서 지속적으로 증가하여 2021/2022년 봄철에는 평균 71±248 ind./m2가 출현하였다(Fig. 10). 또한 주로 서해와 남해에서 출현하였는데(Fig. 11), 서해의 아산만 인근 해역(600 ind./m2 이상), 서해 중부와 신안~목포 사이 정점들(300 ind./m2 이상), 남해의 도암만과 광양만 등 내만 정점들(300 ind./m2 이상)에서 높은 서식밀도를 보였다.
두 번째 우점종인 긴자락송곳갯지렁이(Scoletoma longifolia)는 조사기간 동안 평균 48±131 ind./m2가 출현하여 전체 서식밀도의 약 3.1%를 점유하였고 537개 정점에서 출현하였다(Table 3). 이 종은 2017/2018년 봄철의 평균 32±82 ind./m2에서 지속적으로 증가하여 2021/2022년 봄철에는 65±174 ind./m2가 출현하였다(Fig. 10). 또한 주로 남해와 동해 연안을 따라 출현하였으며(Fig. 10), 남해의 사천 인근(S27)에서 2021/2022년 봄철에 1,237 ind./m2로 높았고 금호도 인근(S59)에서도 각각 563 ind./m2(2021/2022년 여름철) 및 483 ind./m2(2017/2018년 여름철)로 비교적 높았다(Fig. 11). 동해에서는 영일만 인근(E18)에서 2019/2020년 봄철에 637 ind./m2로 높았으며, 영일만(E17)에서도 2021/2022년 봄철과 여름철에 각각 450 ind./m2 및 367 ind./m2로 비교적 높았다. 또한 서해의 새만금 인근(W30)에서도 2019/2020년 여름철과 2021/2022년 여름철에 각각 2,097 ind./m2 및 1,207 ind./m2로 높은 서식밀도를 보였으며, 한강 하구역(W07)에서도 2017/2018년 여름철에 737 ind./m2 등 비교적 높은 서식밀도를 보였다.
Table 3.
Macrozoobenthic dominant species based on Le Bris index in the study area (2017~2022)
세 번째 우점종인 아기반투명조개(Theora lata)는 조사기간 동안 평균 20±133 ind./m2가 출현하여 전체 서식밀도의 약 2.3%를 점유하였고 다른 우점종들보다 적은 376개 정점에서 출현하였다(Table 3). 이 종은 H. filiformis와 S. longifolia와 유사하게 2017/2018년 봄철의 11±85 ind./m2에서 지속적으로 증가하여 2021/2022년 봄철에 31±181 ind./m2가 출현하였다(Fig. 10). 또한 다른 우점종들과 달리 서해와 남해의 내만에서 주로 출현하였는데(Fig. 12), 서해의 목포 인근(W70)에서 2021/2022년 여름철에 2,070 ind./m2로 가장 높았으며, 2021/2022년 여름철에도 460 ind./m2로 비교적 높았다. 또한 새만금 인근(W30)과 금호도 인근(W45, W44) 등의 내만에서도 조사시기에 따라 383~1,543 ind./m2의 비교적 높았다. 남해에서는 조사시기에 따라 사천 인근(S27)과 광양만(S8), 금호도 인근(S59), 여수 주변(S25, S29, S28) 등에서 380~553 ind./m2가 출현하였으며 동해에서는 영일만(E17)에서 2019/2020년 봄철에 140 ind./m2가 출현하였으나 다른 조사시기 및 다른 정점들에서는 50 ind./m2 이하였다.
네 번째 우점종인 오뚜기갯지렁이(Sternaspis scutata)는 조사기간 동안 평균 15±73 ind./m2가 출현하여 전체 서식밀도의 약 1.7%를 점유하였고 500개 정점에서 출현하였다(Table 3). 이 종은 2017/2018년 봄철의 8±26 ind./m2에서 2019/2020년 여름철의 21±118 ind./m2로 증가하였으며(Fig. 11), 서해의 변산반도 인근(W33)에서 2019/2020년 여름철과 2021/2022년 여름철에 각각 1,287 ind./m2 및 1,030 ind./m2가 출현하였으나 그 밖의 조사시기 및 정점들에서는 600 ind./m2 이하였다(Fig. 12). 다섯 번째 우점종인 투구갯지렁이(Sigambra tentaculata)는 조사기간 동안 평균 14±42 ind./m2가 출현하여 전체 서식밀도의 약 1.4%를 점유하였고 비교적 많은 613개 정점에서 출현하였으며, 2021/2022년 봄철(19±45 ind./m2)과 여름철(19±50 ind./m2)이 다른 조사시기보다 비교적 높았다. 이 종은 주로 서해와 남해에서 출현하였으나 다른 우점종들과 달리 모든 정점에서 500 ind./m2 이하였다(Fig. 13). 여섯 번째 우점종인 실타래갯지렁이류(Aphelochaeta spp.)는 조사기간 동안 평균 17±121 ind./m2가 출현하여 전체 서식밀도의 1.4%를 점유하였고 626개의 정점에서 출현하여 두 번째로 많은 출현정점수를 보였다. 이 종은 2017/2018년 봄철(29±91 ind./m2)과 여름철(30±279 ind./m2)에 높았으나 다른 조사시기에서는 감소하였다(9~14 ind./m2). 또한 2017/2018년 여름철에 금호도 인근(S59)에서 3,537 ind./m2 및 봄철에 통영 인근(S34)에서 1,043 ind./m2로 높았으나 그 밖의 대부분의 조사시기 및 정점들에서는 300 ind./m2 이하로 낮았다. 다른 주요 우점종들은 가는버들갯지렁이(Notomastus latericeus)와 작은사슴갯지렁이(Ampharete finmarchica), 예쁜얼굴갯지렁이류(Prionospio paradisea), 양손갯지렁이(Magelona japonica)가 출현하였다.
3.6 저서환경과의 관계
2017-2022년의 조사시간 동안 우리나라 대형저서동물의 분포 양상은 서해 중부에서는 증가하였으며, 남해는 남해 동부에서 일부 증가하나 진해만에서는 지속적으로 빈약하였다. 또한 동해는 남부가 상대적으로 북부와 중부보다 빈약하였으며, 제주 해역은 북부와 남부가 서부와 동부보다 풍부하였다. 이러한 대형저서동물 군집분포에 영향을 주는 환경요소의 조합을 파악하기 위한 Bio-Env. 분석 결과, 수심과 저층 수온, 퇴적물의 유기물 함량(TOC), 평균입도, 분급도 조합이 저서생태계에 영향을 주는 것으로 파악되었다(Table 4). 또한 대형저서동물의 분포에 영향을 미치는 환경요소를 파악하기 위해 저층 수질 및 퇴적환경 자료와 저서동물군집 요소를 활용하여 Spearman 상관분석을 실시하였다(Table 5). 그 결과, 출현 종수와 서식밀도, 생체량, 종 다양도, 주요 우점종의 서식밀도 모두 분급도가 불량해질수록 증가하는 양의 상관관계를 보였다(p<0.05). 또한 출현 종수와 서식밀도는 저층 염분이 증가하고 입도가 조립해질수록 증가했으며, 생체량은 수심과 저층 염분, 저층 용존산소량, TOC 함량이 증가하고 입도가 세립해질수록 증가하였다(p<0.05). 주요 우점종들 중 고리버들갯지렁이(H. filiformis)와 아기반투명조개(T. lata), 오뚜기갯지렁이(S. scutata), 투구갯지렁이(S. tentaculata)는 수심과 저층 염분이 감소하고, 입도가 세립해질수록 밀도가 증가하였으며, 긴자락송곳갯지렁이(S. longifolia)는 수심과 저층 염분, 저층 용존산소량(DO), TOC 함량이 증가하고 입도가 세립해질수록 밀도가 증가하였다(p<0.05).
Table 4.
Relationship between environmental variables and macrozoobenthic assemblage data using Bio-Env. analysis with environmental variables best explaining the faunal pattern. Resulting values are weighted Spearman’s rank correlation coefficient(r). Bold values indicate the highest correlation value for the best explanatory variables
Table 5.
Spearman’s correlation coefficient between environmental variables and macrozoobenthic assemblage data from the study area in spring and summer (2017~2022)
저서환경과 대형저서동물 사이의 상관관계를 추가로 파악하기 위한 주성분 분석(PCA) 결과, 주성분1은 전체 분산의 23.5%의 기여율로, 출현 종수와 평균입도, Silt 함량, Clay 함량과 양의 상관관계 및 Sand 함량과는 음의 상관관계를 보였다(Table 6, Fig. 14). 따라서 주성분1은 평균입도가 세립하고 Sand 함량이 낮으며 출현 종수가 많다는 의미로 해석 가능하다. 주성분2는 전체 분산에 대해 17.1%의 기여율로 Sand 함량과 양의 상관관계 및 Silt 함량과 Clay 함량과는 음의 상관관계를 보였다. 따라서 주성분2는 Sand 함량이 높고 Silt와 Clay 함량은 낮으며 출현 종수와 서식밀도가 높다는 의미이며, 이는 Spearman 상관분석 결과와 유사하였다.
Table 6.
Principal component analysis (PCA) of environmental variables and macrozoobenthic assemblage variables from the study area in spring and summer (2017~2022)
4. 고 찰
2017~2022년 동안 우리나라 전 연안의 봄철과 여름철 조사 결과 총 1,458종의 대형저서동물이 출현하였으며, 이를 우리나라 연안의 다른 연구결과들과 비교하였다. 본 연구와 유사하게 우리나라 전 해역을 대상으로 연구한 Kim et al.(2022b)과 Lee et al.(2022)은 각각 1,641종과 613종을 보고하였는데, Kim et al.(2022b)의 경우 2015-2020년 동안의 연구를 바탕으로 하였으나 제주 해역을 제외하였고 Lee et al.(2022)은 2017년 여름철만을 대상으로 연구하여 이러한 차이가 발생했을 것으로 판단된다. 그러나 Lee et al.(2022)의 서식밀도와 생체량은 각각 1,228 ind./m2와 110.9 gWWt/m2으로 본 연구(1,368 ind./m2 및 138.8 gWWt/m2)와 유사하였으며, 최우점 분류군 또한 출현 종수와 서식밀도는 환형동물로 동일하였다. 따라서 우리나라 조하대 연성기질 전 해역에서의 대형저서동물은 조사시기 및 대상 해역에 따라 다소 차이는 있으나 장·단기적으로 유사한 양상을 보여 안정적으로 유지되고 있는 것으로 판단하였다.
한 국가의 전 해역을 대상으로 이루어지는 연구는 매우 적다. 그 중 Froján et al.(2012)는 영국 연안에 155개 정점을 설정하여 2000~2007년 동안 5월과 6월에 조사를 수행하였으며, 총 1,123종, 정점에 따라 6~1,620 ind./0.1 m2의 대형저서동물 출현을 보고하였다. Froján et al.(2012)과 본 연구는 공통적으로 한 국가의 전 연안을 대상으로 수행되었으나 본 연구에서는 994개 정점에서 총 1,458종이 출현하여 상대적으로 더 많았다. 이러한 차이는 채집 면적의 차이에 따른 희소종 출현율 차이에 기여했을 것으로 판단하였는데, 채집면적과 횟수가 많을수록 희소종(rare species)의 채집 가능성이 높아짐에 따라 본 연구의 출현 종수가 더 많을 것으로 판단하였다(Lim and Hong, 1994; Seo and Yang, 2019). 또한 Froján et al.(2012)는 8년에 걸친 장기간의 조사였으나 영국 영해의 대형저서동물 지리적 차이를 파악하는데 목적을 두고 각 정점에서 1회의 채집만을 수행하여 총 44.8 m2의 퇴적물을 인양하였으며, 본 연구에서는 2017~2022년 동안 각 정점에서 6회의 채집을 통해 총 298.8 m2의 퇴적물을 인양함으로써 상대적으로 넓은 면적의 채집이 수행되었다. 이와 같이 넓은 범위의 채집면적과 범위는 우리나라 주변 조하대 연성기질의 종 다양성과 시·공간 변동 양상을 파악하는데 매우 중요하며, 향후 장기적인 조사를 통해 기후변화 등 해양환경 변화에 따른 저서동물 군집의 변화를 파악할 수 있을 것으로 기대된다.
그동안 우리나라 연안에서 수행된 대형저서동물 군집 연구 결과들은 조사시기와 정점에 따른 차이는 있으나 서해 중부의 태안(Lee et al., 2019)과 천수만(Jung et al., 2014), 금강 하구역(Lee and Ryu 2018; Lim et al., 2019)이 남부에 위치한 시아해(신안 주변)(Lim and Lim, 2016)보다 서식밀도가 높았다. 또한 남해의 완도-도암만(Lim et al., 2018), 남해도 주변(Lim et al., 2016), 거제-한산만(Lim et al., 2016)이 기장(Kim et al., 2011)과 포항~부산(Lee et al., 2014)보다 높았으며, 이러한 서해와 남해의 대형저서동물 분포 양상은 본 연구에서도 관찰되었다.
생체량은 조사시기에 따른 뚜렷한 계절변동은 보이지 않았으며, 서해 중부와 목포-신안 사이, 남해 전역, 동해 중부에서 주로 많았다. 서해와 남해의 생체량 우점종은 피조개(Anadara broughtonii)와 새꼬막(Anadara kagoshimensis), 모래무치염통성게(Echinocardium cordatum), 가시닻해삼(Protankyra bidentata)이었으며, 동해는 긴팔거미불가사리(Amphiura sinicola)와 넓은팔비늘거미불가사리(Amphioplus laevis)였고 제주는 대체로 다른 해역들보다 적었다. 이러한 생체량 우점종들은 모두 muddy Sand라는 동일한 평균 퇴적상을 보였으나, 서해와 남해(평균 TOC 0.8~1.0%, 수심 12.0~22.6 m, 수온 16.2~18.6℃)보다 동해(평균 TOC 1.0~1.4%, 수심 35.3~29.2 m, 수온 15.0~15.4℃)에서 더 깊은 수심과 낮은 저층 수온을 보이는 등 해역에 따른 저서환경의 차이로 서로 다른 생체량 우점종이 출현하였다. 또한 현재 남해는 피조개와 새꼬막의 양식이 활발한 곳으로 알려져 있으며(Lim and Shin, 2005; Choi and Jung, 2016), 가시닻해삼과 모래무치염통성게 또한 주로 서해와 남해의 연구들에서 보고되었다(Jung et al., 2010; Yu et al., 2011; Lee, 2020). 그러나 이러한 생체량 우점종들은 각 해역에 제한적으로 출현하는 것이 아니라 우리나라 전 연안에서 관찰되지만 선호하는 서식지에서 높은 출현빈도와 생체량을 보였다.
이러한 2017~2022년 동안의 연구 결과, 우리나라 연안의 대형저서동물 시간변동 양상에서 출현 종수는 감소하였으나 서식밀도는 증가하였으며, 종 다양도는 뚜렷한 변동을 보이지 않았다. 공간분포 양상은 서해 중부와 남해 동부에서 출현 종수와 서식밀도 모두 증가하였으나, 종 다양도는 서해 중부는 증가 및 남해는 뚜렷한 변동이 없었다. 따라서 서해 연안과 남해 동부의 종 다양성은 증가 혹은 유지되며, 동해와 제주는 뚜렷한 시·공간변동 없이 안정적인 대형저서동물 군집이 유지되고 있음을 시사한다. 그러나 일부 해역에서는 출현 종수가 증가하였음에도 조사시기에 따른 전 연안의 출현 종수 감소는 우리나라 연안의 종 조성이 점차 유사해지고 있을 가능성을 제시한다. 그럼에도 불구하고 이와 같은 양상이 일시적인 현상인지, 또는 장기적인 해양생태계의 변화일지는 명확하지 않으며, 안정적인 종 다양성 유지와 해양생태계 관리 측면에서 향후 지속적인 연구를 통해 관찰할 필요성이 있다.
우리나라 전 해역에서 출현한 대형저서동물을 대상으로 Le Bris index를 이용하여 도출한 최우점종은 고리버들갯지렁이(Heteromastus filiformis)로 서해와 남해 대부분의 정점에서 출현하였으며, 아산만과 금강 하구역 등에서도 높은 서식밀도를 보였다. 또한 인천 연안(Yu et al., 2004)과 천수만(Jung et al. 2014) 등에서도 우점종으로 출현하였으며, 국외의 여러 연구들에서도 주요 우점종으로 보고되고 있다(Pridmore et al., 1990; Ysebaert et al., 1993; Wang et al., 2014). 이 종은 기존에 유기오염지시종으로 알려져 있었으나 Seo et al.(2009a)에 따르면 오염지시종보다는 기회종(r-전략)의 특징을 가지며, Lim and Hong(1997)의 논문에서도 진해만의 유기물 함량이 높은 내만보다 유기물 함량이 낮아지는 외해로 갈수록 서식밀도가 증가한다고 보고하였다. 두 번째 우점종인 긴자락송곳갯지렁이(Scoletoma longifolia)는 또한 기회종이면서 유기오염지시종으로 알려져 있으며(Lim and Choi, 2001; Yu et al., 2013), 우리나라 연안에 넓게 분포하나 주로 동해 연안에서 출현하였다. 이러한 H. filiformis와 S. longifolia의 분포 차이는 Spearman 상관분석 결과에서도 관찰되었는데, H. filiformis는 수심과 TOC 함량이 감소할수록 서식밀도가 증가하였으나 S. longifolia는 수심과 TOC 함량이 증가할수록 서식밀도가 증가하여 서로 상반된 서식분포 특성을 보였다. 세 번째 우점종인 아기반투명조개(Theora lata)는 동해에서는 거의 출현하지 않았으나 서해와 남해의 내만에서 주로 출현하는 특징을 보였으며, 주로 Mud 퇴적상의 유기 오염 해역에서 높은 서식밀도로 출현하는 것으로 알려져 있다(Seo et al., 2013). 또한 진해만 입구와 일본의 Tokyo Bay 등에서 빈산소 발생 이후 저서동물군집의 회복과정 중 S. longifolia와 투구갯지렁이(Sigambra tentaculata) 등과 함께 T. lata 어린 개체가 재가입된다고 보고되었다(Lim et al., 2006; Kodama and Horiguchi, 2011).
우리나라 전 연안의 조하대 연성기질 저서환경과 대형저서동물은 수심과 퇴적물의 유기물 함량(TOC), 평균입도 등에 영향을 받는 것으로 파악되었다. 이러한 대형저서동물 군집의 종수와 서식밀도, 생체량 등이 평균입도와 퇴적물 조성 등과 같은 퇴적환경에 영향을 받는 양상은 국내·외 조간대와 조하대 연구들에서 공통적으로 보고되었다(Yu et al., 2011; Jung et al., 2014; Kim et al., 2015; Chaouti and Bayed, 2017; Desroy et al., 2022). 또한 본 연구에서 공통적으로 관찰된 분급도가 불량할수록 저서동물의 종수와 서식밀도, 생체량, 종 다양도가 증가하는 양상은 Lim and Lim(2016)에서도 유사하게 관찰되었다. 또한 주요 우점종들의 해역에 따른 분포 차이는 각 해역의 특성을 잘 반영하는 것으로 판단하였으며, 이를 바탕으로 각 해역의 저서환경 변화를 파악하는데 주요 우점종의 변화가 기여할 수 있을 것으로 기대한다.
5. 결 론
우리나라 전 연안을 대상으로 조하대 연성기질에 서식하는 대형저서동물의 출현 종수, 밀도, 생체량, 종 다양도, 우점종의 시·공간분포 특성을 파악하고자 하였다. 또한 해역별 및 행정구역별 대형저서동물 군집 특성을 요약하여 제시하였다(Fig. 15). 해역별 우점종은 출현정점수와 서식밀도를 동시에 고려한 Le Bris index를 활용하여 선정하였으며, 비교적 좁은 조사범위로 구분되는 행정구역은 서식밀도를 기준으로 우점종을 선정하였다. 그 결과, 우리나라 서해에서 937종으로 가장 많았으며, 서식밀도와 생체량은 동해 및 종 다양도는 제주에서 가장 높았다. 주요 우점종은 서해와 남해는 고리버들갯지렁이(Heteromastus filiformis)와 아기반투명조개(Theora lata), 동해는 긴자락송곳갯지렁이(Scoletoma longifolia)와 민숭대나무갯지렁이(Maldane cristata), 제주는 작은사슴갯지렁이(Ampharete finmarchica)와 꽃갯지렁이류(Euchone spp.)였다. 행정구역별로는 가장 많은 정점들이 위치한 전라남도에서 937종으로 가장 많았으며, 서식밀도는 강원도와 부산에서 높고 생체량은 동해(강원도, 경상북도), 종 다양도는 제주에서 가장 높았다. 행정구역별 주요 우점종은 서해와 남해의 경기/인천과 전라북도, 전라남도, 경상남도에서는 고리버들갯지렁이(H. filiformis)가 공통적으로 출현하였으며, 경기/인천과 경상남도, 부산에서는 얼굴갯지렁이류(Aonides oxycephala), 충청남도에서는 쇄방사늑조개(Potamocorbula amurensis)와 가는버들갯지렁이(Notomastus latericeus)가 주요 우점종이었다. 또한 제주에서는 작은사슴갯지렁이(A. finmarchica)와 민꼬리대나무갯지렁이(Praxillella pacifica), 동해의 강원도와 경상북도에서는 양손갯지렁이류(Magelona pacifica), 울산에서는 긴얼굴갯지렁이류(Polydora spp.)와 꽃갯지렁이류(Euchone spp.)가 주요 우점종이었다. 우리나라 연안 조하대 연성기질의 대형저서동물 군집 연구 결과를 향후 관련 연구 및 연안 해양생태계 관리를 위한 정책 수립에 중요한 기반자료로 사용될 수 있을 것으로 기대한다.

















